电脑桌面
添加小米粒文库到电脑桌面
安装后可以在桌面快捷访问

常用的积分公式VIP免费

常用的积分公式_第1页
1/16
常用的积分公式_第2页
2/16
常用的积分公式_第3页
3/16
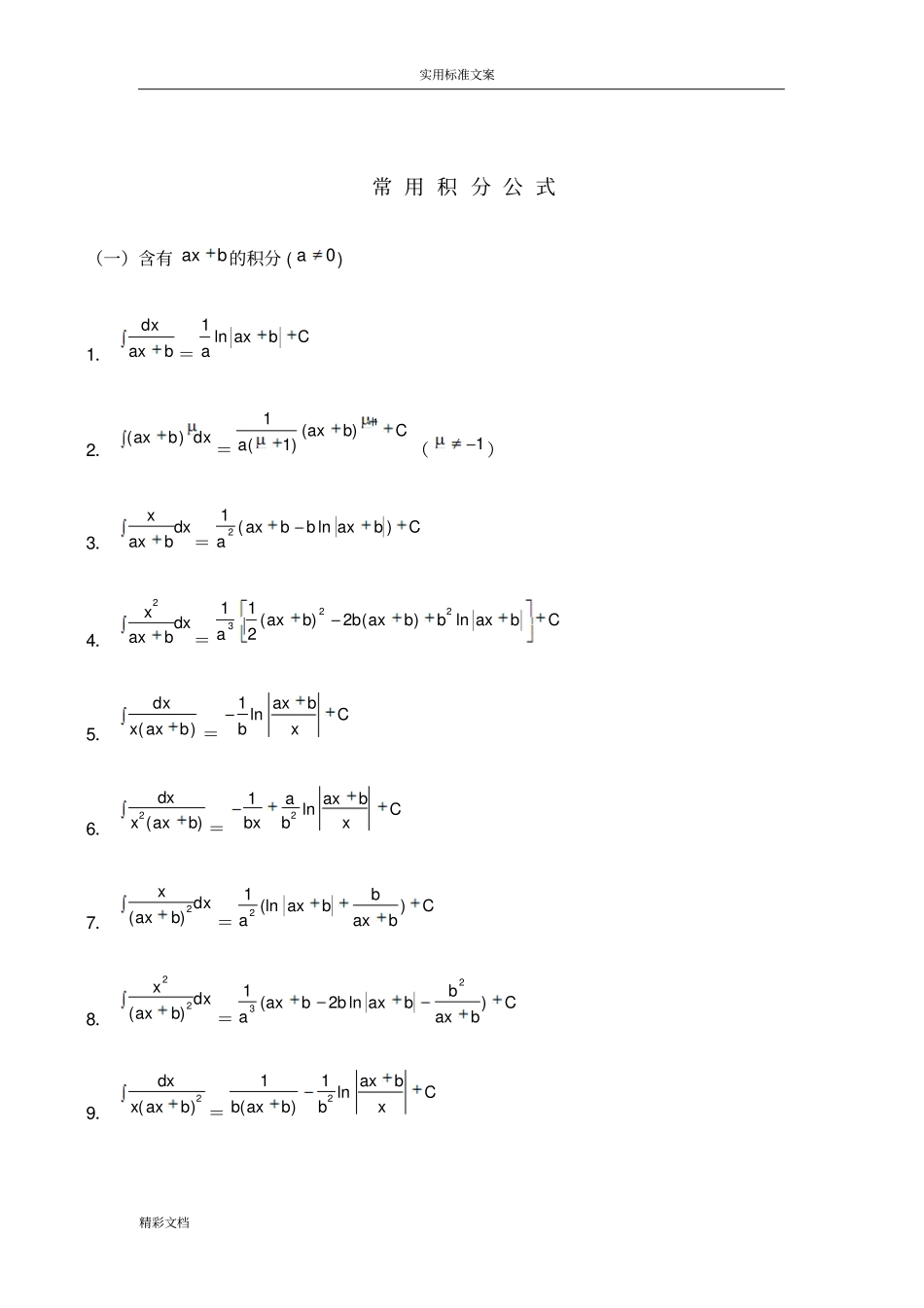
实用标准文案精彩文档常用积分公式(一)含有axb的积分(0a)1.dxaxb=1lnaxbCa2.()daxbx=11()(1)axbCa(1)3.dxxaxb=21(ln)axbbaxbCa4.2dxxaxb=22311()2()ln2axbbaxbbaxbCa5.d()xxaxb=1lnaxbCbx6.2d()xxaxb=21lnaaxbCbxbx7.2d()xxaxb=21(ln)baxbCaaxb8.22d()xxaxb=231(2ln)baxbbaxbCaaxb9.2d()xxaxb=211ln()axbCbaxbbx实用标准文案精彩文档(二)含有axb的积分10.daxbx=32()3axbCa11.dxaxbx=322(32)()15axbaxbCa12.2dxaxbx=222332(15128)()105axabxbaxbCa13.dxxaxb=22(2)3axbaxbCa14.2dxxaxb=22232(348)15axabxbaxbCa15.dxxaxb=1ln(0)2arctan(0)axbbCbbaxbbaxbCbbb16.2dxxaxb=d2axbaxbxbxaxb17.daxbxx=d2xaxbbxaxb18.2daxbxx=d2axbaxxxaxb(三)含有22xa的积分实用标准文案精彩文档19.22dxxa=1arctanxCaa20.22d()nxxa=2221222123d2(1)()2(1)()nnxnxnaxanaxa21.22dxxa=1ln2xaCaxa(四)含有2(0)axba的积分22.2dxaxb=1arctan(0)1ln(0)2axCbbabaxbCbabaxb23.2dxxaxb=21ln2axbCa24.22dxxaxb=2dxbxaaaxb25.2d()xxaxb=221ln2xCbaxb26.22d()xxaxb=21daxbxbaxb27.32d()xxaxb=22221ln22axbaCbxbx实用标准文案精彩文档28.22d()xaxb=221d2()2xxbaxbbaxb(五)含有2axbxc(0)a的积分29.2dxaxbxc=222222222arctan(4)44124ln(4)424axbCbacacbacbaxbbacCbacbacaxbbac30.2dxxaxbxc=221dln22bxaxbxcaaaxbxc(六)含有22xa(0)a的积分31.22dxxa=1arshxCa=22ln()xxaC32.223d()xxa=222xCaxa33.22dxxxa=22xaC34.223d()xxxa=221Cxa35.222dxxxa=22222ln()22xaxaxxaC36.2223d()xxxa=2222ln()xxxaCxa实用标准文案精彩文档37.22dxxxa=221lnxaaCax38.222dxxxa=222xaCax39.22dxax=22222ln()22xaxaxxaC40.223()dxax=22224223(25)ln()88xxaxaaxxaC41.22dxxax=2231()3xaC42.222dxxax=4222222(2)ln()88xaxaxaxxaC43.22dxaxx=2222lnxaaxaaCx44.222dxaxx=2222ln()xaxxaCx(七)含有22xa(0)a的积分45.22dxxa=1archxxCxa=22lnxxaC46.223d()xxa=222xCaxa实用标准文案精彩文档47.22dxxxa=22xaC48.223d()xxxa=221Cxa49.222dxxxa=22222ln22xaxaxxaC50.2223d()xxxa=2222lnxxxaCxa51.22dxxxa=1arccosaCax52.222dxxxa=222xaCax53.22dxax=22222ln22xaxaxxaC54.223()dxax=22224223(25)ln88xxaxaaxxaC55.22dxxax=2231()3xaC56.222dxxax=4222222(2)ln88xaxaxaxxaC57.22dxaxx=22arccosaxaaCx实用标准文案精彩文档58.222dxaxx=2222lnxaxxaCx(八)含有22ax(0)a的积分59.22dxax=arcsinxCa60.223d()xax=222xCaax61.22dxxax=22axC62.223d()xxax=221Cax63.222dxxax=222arcsin22xaxaxCa64.2223d()xxax=22arcsinxxCaax65.22dxxax=221lnaaxCax66.222dxxax=222axCax67.22daxx=222arcsin22xaxaxCa实用标准文案精彩文档68.223()daxx=222243(52)arcsin88xxaxaxaCa69.22dxaxx=2231()3axC70.222dxaxx=42222(2)arcsin88xaxxaaxCa71.22daxxx=2222lnaaxaxaCx72.222daxxx=22arcsinaxxCxa(九)含有2axbxc(0)a的积分73.2dxaxbxc=21ln22axbaaxbxcCa74.2daxbxcx=224axbaxbxca2234ln228acbaxbaaxbxcCa75.2dxxaxbxc=21axbxca23ln222baxbaaxbxcCa实用标准文案精彩文档76.2dxcbxax=212arcsin4axbCabac77.2dcbxaxx=2232242arcsin484axbbacaxbcbxaxCaabac78.2dxxcbxax=23212arcsin24baxbcbxaxCaabac(十)含有xaxb或()()xabx的积分79.dxaxxb=()()ln()xaxbbaxaxbCxb80.dxaxbx=()()arcsinxaxaxbbaCbxbx81.d()()xxabx=2arcsinxaCbx()ab82.()()dxabxx=22()()()arcsin44xabbaxaxabxCbx()ab(十一)含有三角函数的积分83.sindxx=cosxC84.cosdxx=sinxC85.tandxx=lncosxC实用标准文案精彩文档86.cotdxx=lnsinxC87.secdxx=lntan()42xC=lnsectanxxC88.cscdxx=lntan2xC=lncsccotxxC89.2secdxx=tanxC90.2cscdxx=cotxC91.sectandxxx=secxC92.csccotdxxx=cscxC93.2sindxx=1sin224xxC94.2cosdxx=1sin224xxC95.sindnxx=1211sincossindnnnxxxxnn96.cosdnxx=1211cossincosdnnnxxx...

1、当您付费下载文档后,您只拥有了使用权限,并不意味着购买了版权,文档只能用于自身使用,不得用于其他商业用途(如 [转卖]进行直接盈利或[编辑后售卖]进行间接盈利)。
2、本站所有内容均由合作方或网友上传,本站不对文档的完整性、权威性及其观点立场正确性做任何保证或承诺!文档内容仅供研究参考,付费前请自行鉴别。
3、如文档内容存在违规,或者侵犯商业秘密、侵犯著作权等,请点击“违规举报”。

碎片内容

常用的积分公式

文库当当响+ 关注
实名认证
内容提供者

该用户很懒,什么也没介绍

相关文档

确认删除?
VIP
微信客服
  • 扫码咨询
会员Q群
  • 会员专属群点击这里加入QQ群
客服邮箱
回到顶部