电脑桌面
添加小米粒文库到电脑桌面
安装后可以在桌面快捷访问

整式乘除与因式分解提高试题VIP免费

整式乘除与因式分解提高试题_第1页
1/9
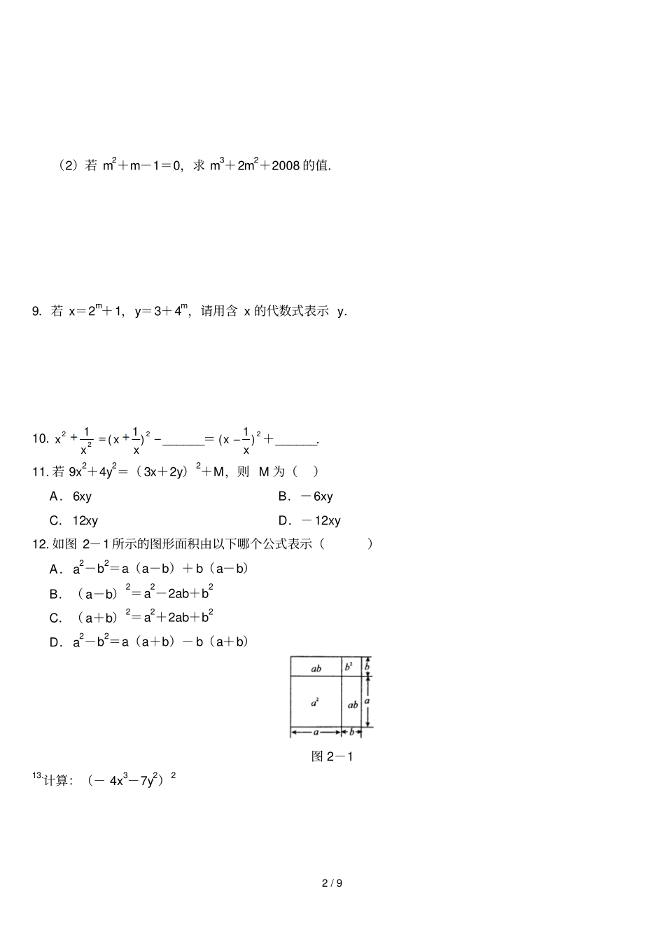
整式乘除与因式分解提高试题_第2页
2/9
整式乘除与因式分解提高试题_第3页
3/9
1/9整式的乘除与因式分解提高训练1.(x2+xy+y2)(x-y)=2.先化简,再求值.(1)),43253(4)12(562nmmnmmm其中m=-1,n=2;(2)(3a+1)(2a-3)-(4a-5)(a-4),其中a=-2.3.若(8×106)(5×102)(2×10)=M×10a,则M、a的值为()A.M=8,a=8B.M=8,a=10C.M=2,a=9D.M=5,a=104.设M=(x-3)(x-7),N=(x-2)(x-8),则M与N的关系为()A.M<NB.M>NC.M=ND.不能确定5.如果x2与-2y2的和为m,1+y2与-2x2的差为n,那么2m-4n化简后的结果为()A.-6x2-8y2-4B.10x2-8y2-4C.-6x2-8y2+4D.10x2-8y2+46.如图,用代数式表示阴影部分面积为()A.ac+bcB.ac+(b-c)C.ac+(b-c)cD.a+b+2c(a-c)+(b-c)7.在(x2+ax+b)(2x2-3x-1)的积中,x3项的系数是-5,x2项的系数是-6,求a、b的值.8.通过对代数式进行适当变形求出代数式的值.(1)若2x+y=0,求4x3+2xy(x+y)+y3的值;2/9(2)若m2+m-1=0,求m3+2m2+2008的值.9.若x=2m+1,y=3+4m,请用含x的代数式表示y.10.222)1(1xxxx______=2)1(xx+______.11.若9x2+4y2=(3x+2y)2+M,则M为()A.6xyB.-6xyC.12xyD.-12xy12.如图2-1所示的图形面积由以下哪个公式表示()A.a2-b2=a(a-b)+b(a-b)B.(a-b)2=a2-2ab+b2C.(a+b)2=a2+2ab+b2D.a2-b2=a(a+b)-b(a+b)图2-113.计算:(-4x3-7y2)23/914.用适当的方法计算.(1)1.02×0.98(2)13111321(3)2)2140((4)20052-4010×2006+2006215.若a+b=17,ab=60,求(a-b)2和a2+b2的值.16.若x2+2ax+16是一个完全平方式,是a=______.17.若,51aa则221aa的结果是()A.23B.8C.-8D.-2318.(x-2y)2+2(x+2y)(x-2y)+(x+2y)219.巧算:).200811()411)(311)(211(22224/920.计算:(a+b+c)2.21.若a4+b4+a2b2=5,ab=2,求a2+b2的值.22.若x2-2x+10+y2+6y=0,求(2x+y)2的值.23.若△ABC三边a、b、c满足a2+b2+c2=ab+bc+ca.试问△ABC的三边有何关系?24.已知7x5y3与一个多项式之积是28x7y3+98x6y5-21x5y5,则这个多项式是()A.4x2-3y2B.4x2y-3xy2C.4x2-3y2+14xy2D.4x2-3y2+7xy325.先化简,再求值:[5a4·a2-(3a6)2÷(a2)3]÷(-2a2)2,其中a=-5.5/926.若m(a-b)3=(a2-b2)3,那么整式m=______.27.计算:mmmm)42(372=28.若,72288223bbabanm求m、n的值.29.已知x2-5x+1=0,求221xx的值.30.已知x3=m,x5=n,试用m、n的代数式表示x14.31.已知除式x-y,商式x+y,余式为1,求被除式.32.说明3200-4×3199+10×3198能被7整除.6/933.解答(1)已知x,y满足,13,62yxyx求7y(x-3y)2-2(3y-x)3的值.(2).已知x+y=2,,21xy求x(x+y)2(1-y)-x(y+x)2的值34.因式分解:(1)ax+ay+bx+by;(2)2ax+3am-10bx-15bm.35.利用公式简算:(1)2008+20082-20092;(2)3.14×512-3.14×492.36.已知x+2y=3,x2-4y2=-15,(1)求x-2y的值;(2)求x和y的值.7/937.若4x2-mxy+25y2=(2x+5y)2,则m=______.38.因式分解(1).a2-16a+64(2)-x2-4y2+4xy(3)(a-b)2-2(a-b)(a+b)+(a+b)2(4).4x3+4x2+x39.若a2+2a+1+b2-6b+9=0,求a2-b2的值.40.把下列各式因式分解:(1)49x2-14xy+y2=______;(2)25(p+q)2+10(p+q)+1=______;(3)an+1+an-1-2an=______;(4)(a+1)(a+5)+4=______.42.如果x2+kxy+9y2是一个完全平方公式,那么k是()A.6B.-6C.±6D.1843.若,31xx求221xx的值.44.若a4+b4+a2b2=5,ab=2,求a2+b2的值.8/945.分解因式(1).(m2+n2)2-4m2n2(2)x2+2x+1-y2(3)(a+1)2(2a-3)-2(a+1)(3-2a)+2a-3(4)x2-2xy+y2-2x+2y+146.已知x3+y3=(x+y)(x2-xy+y2)称为立方和公式,x3-y3=(x-y)(x2+xy+y2)称为立方差公式,据此,试将下列各式因式分解:(1)a3+8(2)27a3-147.解下列方程(1)220xx(2)2560xx(3)23440aa(4)227150bb9/948.因式分解:x+y)2-4(x+y-1)=49.先化简,再求值已知x(x-1)-(x2-y)=-2,求222yx-xy的值.50.若(m+n)2-6(m+n)+9=0,则m+n=.

1、当您付费下载文档后,您只拥有了使用权限,并不意味着购买了版权,文档只能用于自身使用,不得用于其他商业用途(如 [转卖]进行直接盈利或[编辑后售卖]进行间接盈利)。
2、本站所有内容均由合作方或网友上传,本站不对文档的完整性、权威性及其观点立场正确性做任何保证或承诺!文档内容仅供研究参考,付费前请自行鉴别。
3、如文档内容存在违规,或者侵犯商业秘密、侵犯著作权等,请点击“违规举报”。

碎片内容

整式乘除与因式分解提高试题

您可能关注的文档

爱的疯狂+ 关注
实名认证
内容提供者

该用户很懒,什么也没介绍

相关文档

确认删除?
VIP
微信客服
  • 扫码咨询
会员Q群
  • 会员专属群点击这里加入QQ群
客服邮箱
回到顶部