电脑桌面
添加小米粒文库到电脑桌面
安装后可以在桌面快捷访问

分式加减法(二)VIP专享VIP免费

分式加减法(二)_第1页
1/8
分式加减法(二)_第2页
2/8
分式加减法(二)_第3页
3/8
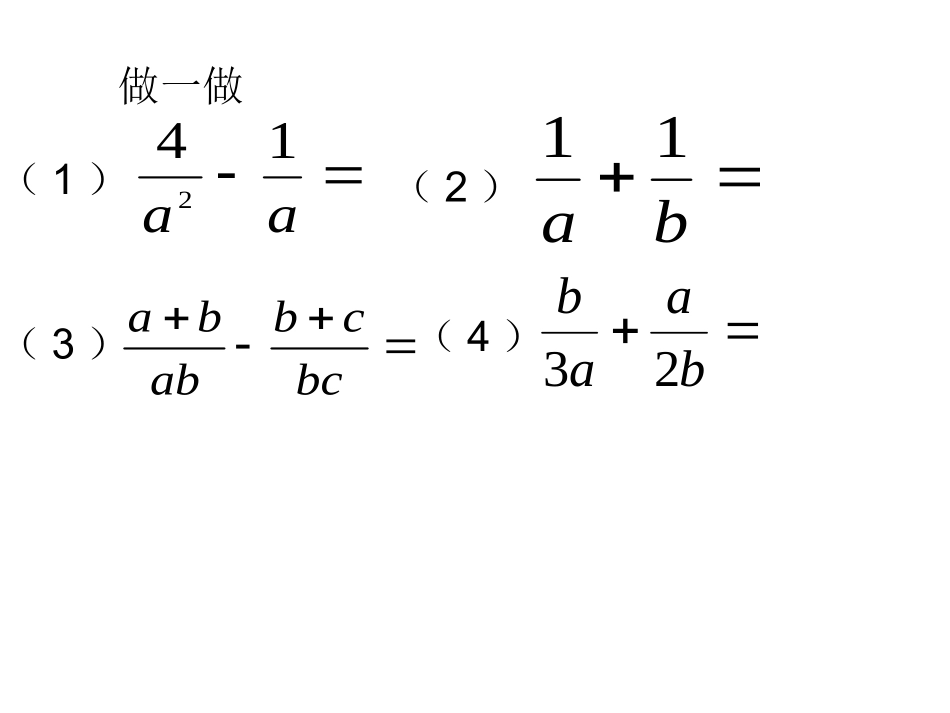
第三章分式3.分式的加减法(二)薄荷台中学李海英教学目标(1)异分母分式加减法的法则(2)分式的通分(3)经历异分母分式的加减运算和通分的过程,训练学生的分式运算能力,培养教学学习中转化未知问题为已知问题的能力。(4)进一步通过实例发展学生的符号感。做一做aa142ba11(1)(2)bccbabbabaab23(3)(4)•(1)通分练习;41,3,22xyyxxy(2),5yx2)(3xy异分母分式的加减法法则异分母的分式相加减,先通分,化为同分母的分式,然后再按同分母分式的加减法法则进行计算。例2计算(1);3131xx(2);21412aa例:根据规划设计,某市工程队准备在开发区修建一条长1120m的盲道.由于采用新的施工方式,实际每天修建盲道的长度比原计划增加10m,从而缩短了工期.假设原计划每天修建盲道xm那么(1)原计划修建这条盲道需要多少天?实际修建这条盲道用了多少天?(2)实际修建这条盲道的工期比原计划缩短了几天?课时小结•这节课是在上节课的基础上,进一步学习了异分母的分式加减法,使我们对分式的加减法有了一个比较清楚地了解。知道异分母分式相加减的法则,那就是先通分,化为同分母的分式,然后再按同分母分式的加减法法则进行计算。作业•课本P84——1,2,3•预习下一节

1、当您付费下载文档后,您只拥有了使用权限,并不意味着购买了版权,文档只能用于自身使用,不得用于其他商业用途(如 [转卖]进行直接盈利或[编辑后售卖]进行间接盈利)。
2、本站所有内容均由合作方或网友上传,本站不对文档的完整性、权威性及其观点立场正确性做任何保证或承诺!文档内容仅供研究参考,付费前请自行鉴别。
3、如文档内容存在违规,或者侵犯商业秘密、侵犯著作权等,请点击“违规举报”。

碎片内容

分式加减法(二)

您可能关注的文档

精品文库+ 关注
实名认证
内容提供者

中小学课件教案小学资料大全

相关文档

确认删除?
VIP
微信客服
  • 扫码咨询
会员Q群
  • 会员专属群点击这里加入QQ群
客服邮箱
回到顶部