电脑桌面
添加小米粒文库到电脑桌面
安装后可以在桌面快捷访问

三角函数练习2VIP免费

三角函数练习2_第1页
1/19
三角函数练习2_第2页
2/19
三角函数练习2_第3页
3/19
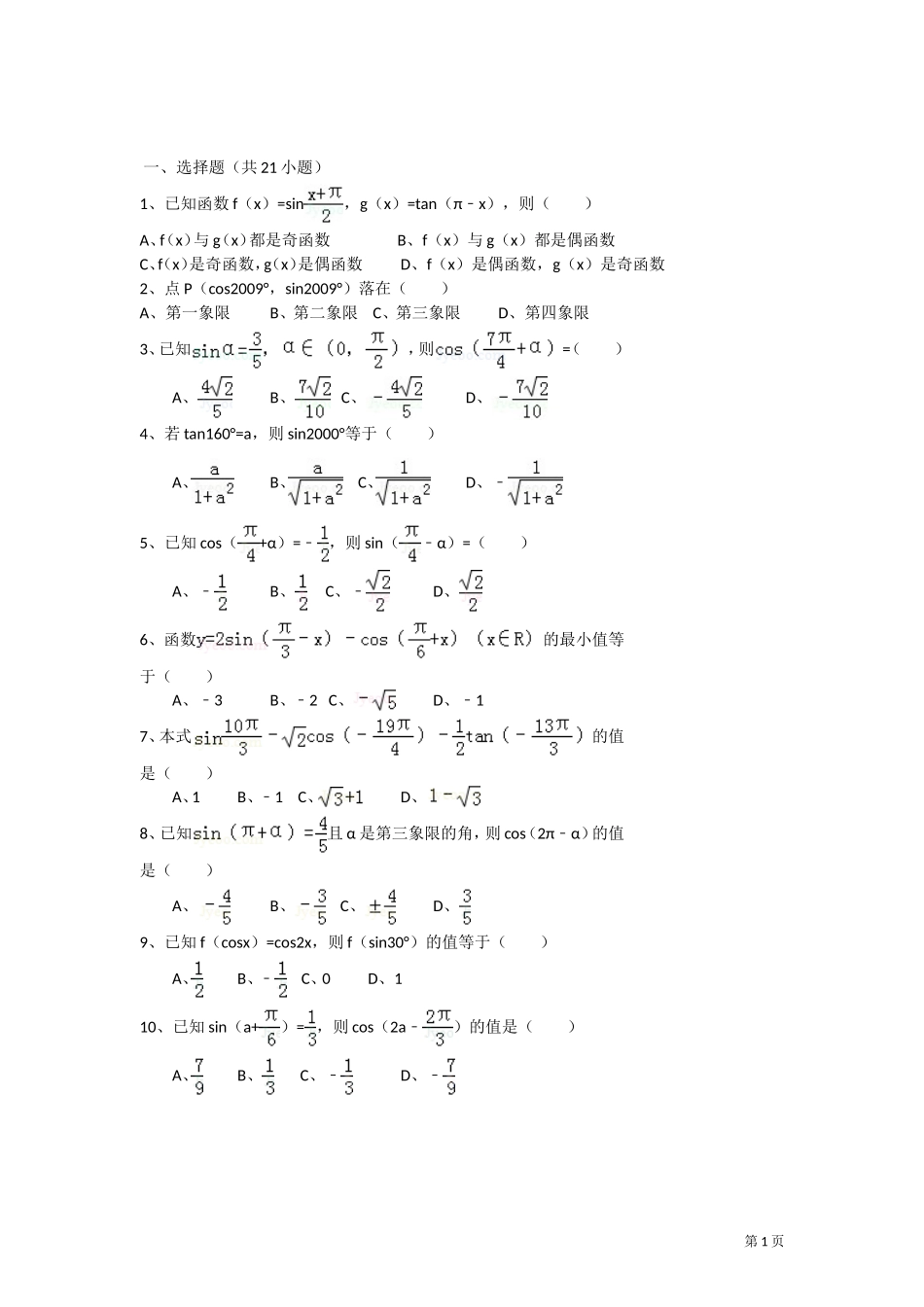
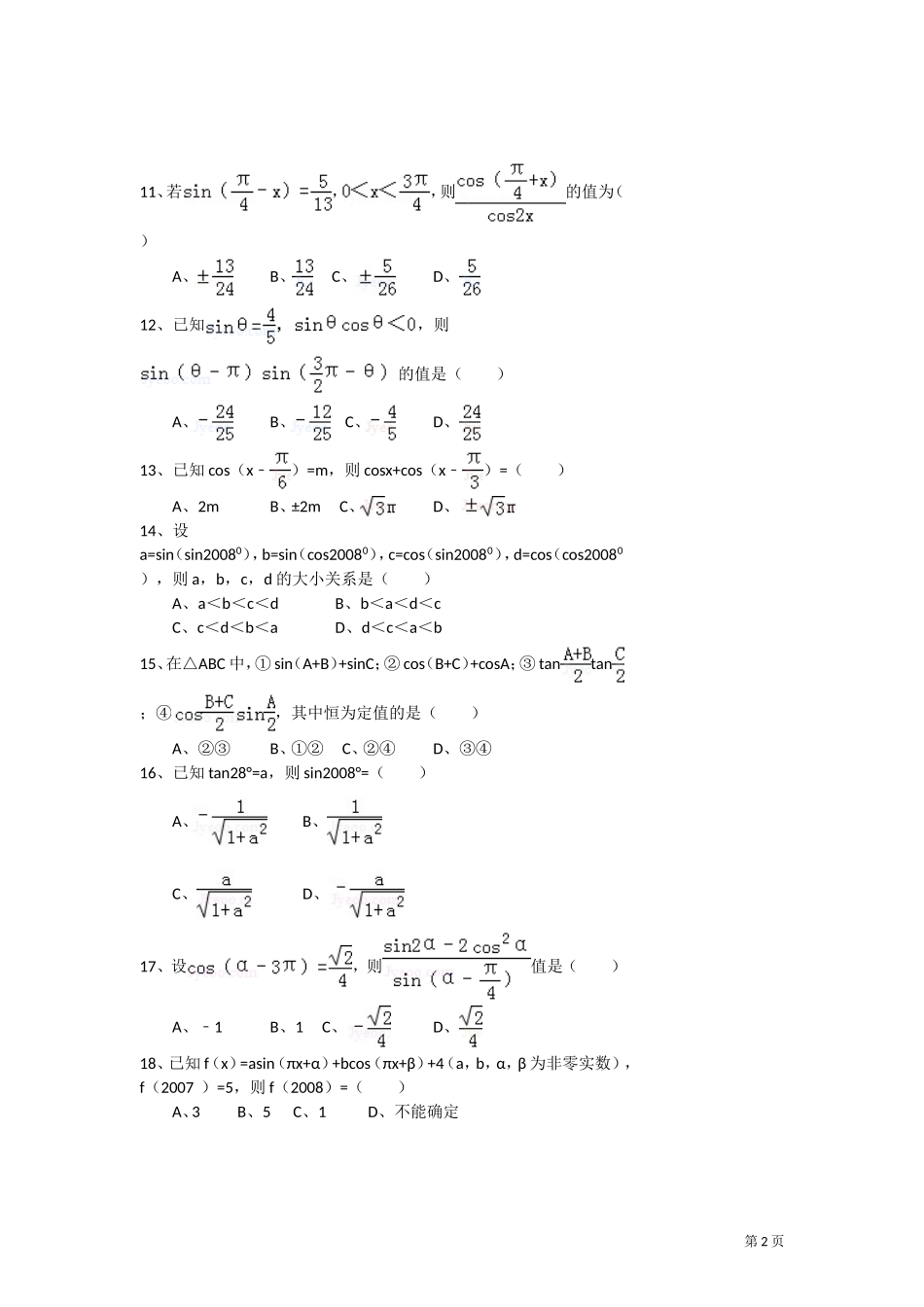
一、选择题(共21小题)1、已知函数f(x)=sin,g(x)=tan(π﹣x),则()A、f(x)与g(x)都是奇函数B、f(x)与g(x)都是偶函数C、f(x)是奇函数,g(x)是偶函数D、f(x)是偶函数,g(x)是奇函数2、点P(cos2009°,sin2009°)落在()A、第一象限B、第二象限C、第三象限D、第四象限3、已知,则=()A、B、C、D、4、若tan160°=a,则sin2000°等于()A、B、C、D、﹣5、已知cos(+α)=﹣,则sin(﹣α)=()A、﹣B、C、﹣D、6、函数的最小值等于()A、﹣3B、﹣2C、D、﹣17、本式的值是()A、1B、﹣1C、D、8、已知且α是第三象限的角,则cos(2π﹣α)的值是()A、B、C、D、9、已知f(cosx)=cos2x,则f(sin30°)的值等于()A、B、﹣C、0D、110、已知sin(a+)=,则cos(2a﹣)的值是()A、B、C、﹣D、﹣第1页11、若,,则的值为()A、B、C、D、12、已知,则的值是()A、B、C、D、13、已知cos(x﹣)=m,则cosx+cos(x﹣)=()A、2mB、±2mC、D、14、设a=sin(sin20080),b=sin(cos20080),c=cos(sin20080),d=cos(cos20080),则a,b,c,d的大小关系是()A、a<b<c<dB、b<a<d<cC、c<d<b<aD、d<c<a<b15、在△ABC中,①sin(A+B)+sinC;②cos(B+C)+cosA;③tantan;④,其中恒为定值的是()A、②③B、①②C、②④D、③④16、已知tan28°=a,则sin2008°=()A、B、C、D、17、设,则值是()A、﹣1B、1C、D、18、已知f(x)=asin(πx+α)+bcos(πx+β)+4(a,b,α,β为非零实数),f(2007)=5,则f(2008)=()A、3B、5C、1D、不能确定第2页19、给定函数①y=xcos(+x),②y=1+sin2(π+x),③y=cos(cos(+x))中,偶函数的个数是()A、3B、2C、1D、020.化简:的值等于,其中()A、B、﹣C、D、﹣21、在程序框图中,输入f0(x)=cosx,则输出的是f4(x)=﹣csx()A、﹣sinxB、sinxC、cosxD、﹣cosx二、填空题(共9小题)22、若P(﹣4,3)是角终边上一点,则的值为_________.23、△ABC的三个内角为A、B、C,当A为_________°时,取得最大值,且这个最大值为_________.24、化简:=_________25、化简:=_________.26、已知,则f(1)+f(2)+f(3)+…+f(2009)=_________.第3页27、已知tanθ=3,则(π﹣θ)=_________.28、sin(π+)sin(2π+)sin(3π+)…sin(2010π+)的值等于_________.29、f(x)=,则f(1°)+f(2°)+…+f(58°)+f(59°)=_________.30、若,且,则cos(2π﹣α)的值是_________.参考答案一、选择题(共21小题)1、已知函数f(x)=sin,g(x)=tan(π﹣x),则()A、f(x)与g(x)都是奇函数B、f(x)与g(x)都是偶函数C、f(x)是奇函数,g(x)是偶函数D、f(x)是偶函数,g(x)是奇函数考点:函数奇偶性的判断;运用诱导公式化简求值。专题:计算题。分析:从问题来看,要判断奇偶性,先对函数用诱导公式作适当变形,再用定义判断.解答:解: f(x)=sin=cos,g(x)=tan(π﹣x)=﹣tanx,∴f(﹣x)=cos(﹣)=cos=f(x),是偶函数g(﹣x)=﹣tan(﹣x)=tanx=﹣g(x),是奇函数.故选D.点评:本题主要考查函数奇偶性的判断,判断时要先看定义域,有必要时要对解析式作适当变形,再看f(﹣x)与f(x)的关系.2、点P(cos2009°,sin2009°)落在()A、第一象限B、第二象限C、第三象限D、第四象限考点:象限角、轴线角;运用诱导公式化简求值。专题:计算题。分析:根据所给的点的坐标的横标和纵标,把横标和纵标整理,利用三角函数的诱导公式,判断出角是第几象限的角,确定三角函数值的符号,得到点的位置.解答:解: cos2009°=cos(360°×5+209°)=cos209°第4页 209°是第三象限的角,∴cos209°<0, sin2009°=sin(360°×5+209°)=sin209° 209°是第三象限的角,∴sin209°<0,∴点P的横标和纵标都小于0,∴点P在第三象限,故选C点评:本题考查三角函数的诱导公式,考查根据点的坐标中角的位置确定坐标的符号,本题运算量比较小,是一个基础题.3、已知,则=()A、B、C、D、考点:任意角的三角函数的定义;运用诱导公式化简求值。专题:...

1、当您付费下载文档后,您只拥有了使用权限,并不意味着购买了版权,文档只能用于自身使用,不得用于其他商业用途(如 [转卖]进行直接盈利或[编辑后售卖]进行间接盈利)。
2、本站所有内容均由合作方或网友上传,本站不对文档的完整性、权威性及其观点立场正确性做任何保证或承诺!文档内容仅供研究参考,付费前请自行鉴别。
3、如文档内容存在违规,或者侵犯商业秘密、侵犯著作权等,请点击“违规举报”。

碎片内容

三角函数练习2

您可能关注的文档

确认删除?
VIP
微信客服
  • 扫码咨询
会员Q群
  • 会员专属群点击这里加入QQ群
客服邮箱
回到顶部