电脑桌面
添加小米粒文库到电脑桌面
安装后可以在桌面快捷访问

河北省元氏中学高三数学一轮复习7三角函数(1)VIP免费

河北省元氏中学高三数学一轮复习7三角函数(1)_第1页
1/5
河北省元氏中学高三数学一轮复习7三角函数(1)_第2页
2/5
河北省元氏中学高三数学一轮复习7三角函数(1)_第3页
3/5
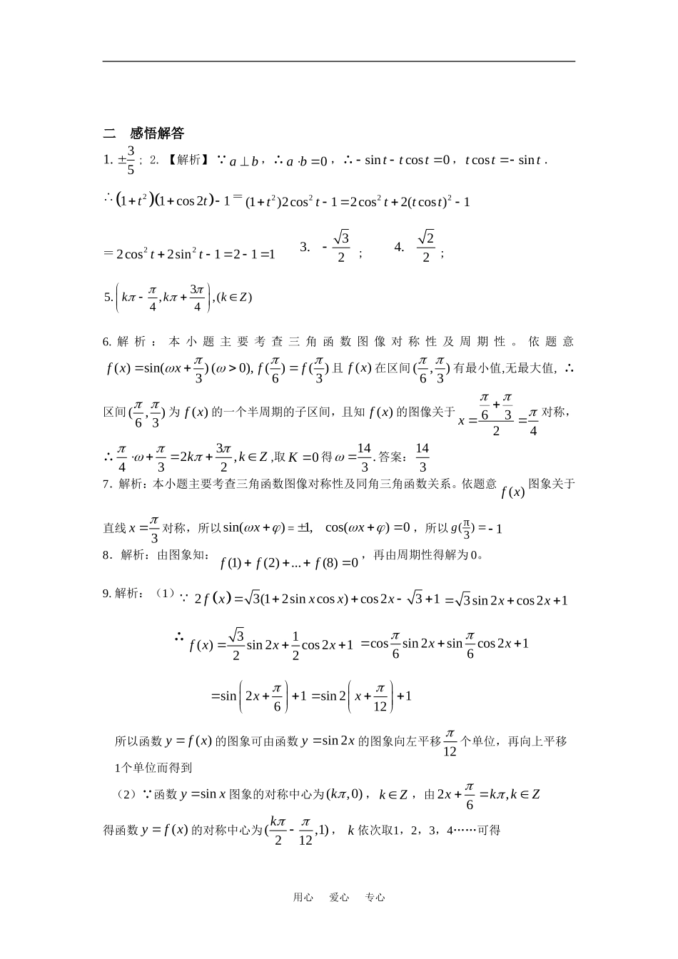
河北省元氏中学一轮复习7三角函数(1)★高考趋势★本课时重点复习三角函数的图象和性质,该部分在高考中多以填空题形式考察,有时也会在前两道解答题中出现。有界性、单调性、奇偶性、周期性等都是考察的重点,图象的性质与变换应是复习的重点,另外,三角函数的导数可能也会涉及。一基础再现考点1、三角函数的有关概念1.若角的终边经过点(4,3)(0)Paaa,则sin=.考点2、同角三角函数的基本关系式2.已知sin,cos,1,,attbtab,则211cos21tt的值______考点3、正弦、余弦的诱导公式3.(山东省博兴二中高三第三次月考)已知xxf2cos)(cos,则f(15sin)的值等于.考点4、正弦函数、余弦函数、正切函数的图象和性质4.函数]2,0[cossin在与xyxy内的交点为P,它们在点P处的两条切线与x轴所围成的三角形的面积为▲5.函数()tan()4fxx的单调递减区间为考点5、函数)sin(xAy的图象和性质6.已知()sin(0)363fxxff,,且()fx在区间63,有最小值,无最大值,则=__________.7.若()sin()1(0,||<π)fxAx对任意实数t,都有ππ33ftft.记()cos()1gxAx,则π()3g8.函数()sin(00)fxAxA,的部分图象如图所示,则(1)(2)(2008)fff=.9.已知:2223sincos2cos3,fxxxxxR(1)请说明函数()yfx的图象可由函数sin2yx的图象经过怎样的变换得到;(2)设函数()yfx图象位于y轴右侧的对称中心从左到右依次为A1、A2、A3、A4、…、nA…、()nN,试求A4的坐标。用心爱心专心yxO6222二感悟解答31.5;2.【解析】 ab,∴0ab,∴sincos0ttt,cossinttt.∴211cos21tt=2222(1)2cos12cos2(cos)1ttttt=222cos2sin1211tt33.2;24.2;35.,,()44kkkZ6.解析:本小题主要考查三角函数图像对称性及周期性。依题意()sin()(0),()()363fxxff且()fx在区间(,)63有最小值,无最大值,∴区间(,)63为()fx的一个半周期的子区间,且知()fx的图像关于6324x对称,∴32,432kkZ,取0K得14.3答案:1437.解析:本小题主要考查三角函数图像对称性及同角三角函数关系。依题意()fx图象关于直线3x对称,所以sin()x=1,cos()0x,所以π()3g18.解析:由图象知:(1)(2)...(8)0fff,再由周期性得解为0。9.解析:(1)23(12sincos)cos231fxxxx3sin2cos21xx∴31()sin2cos2122fxxxcossin2sincos2166xxsin216xsin2112x所以函数()yfx的图象可由函数sin2yx的图象向左平移12个单位,再向上平移1个单位而得到(2) 函数sinyx图象的对称中心为(,0)k,kZ,由2,6xkkZ得函数()yfx的对称中心为(,1)212k,k依次取1,2,3,4……可得用心爱心专心A1、A2、A3、A4……各点,∴A4的坐标为23(,1)12【点评】(1)三角函数图像及其变换是当前考查热点,其书写的规范性是考生必须高度重视的.(2)正弦、余弦函数图象的对称中心即图象与平衡位置的交点。三范例剖析例1已知函数()cos(2)2sin()sin()344fxxxx(Ⅰ)求函数()fx的最小正周期和图象的对称轴方程(Ⅱ)求函数()fx在区间[,]122上的值域变题:已知函数sincosyxax的图象关于直线53x对称,则函数sincosyxax的图象在区间[,2]上的一条对称轴是例2已知函数2sin0,0fxx的最小正周期为,其图像过点,14.(Ⅰ)求和的值;(Ⅱ)函数fx的图像可由sin2yx(x∈R)的图像经过怎样的变换而得到?.变题:如图,点O是做简谐运动的物体的平衡位置,取向右的方向为物体位移的正方向,若已知振幅为3cm,周期为3s,且物体向右运动到距平...

1、当您付费下载文档后,您只拥有了使用权限,并不意味着购买了版权,文档只能用于自身使用,不得用于其他商业用途(如 [转卖]进行直接盈利或[编辑后售卖]进行间接盈利)。
2、本站所有内容均由合作方或网友上传,本站不对文档的完整性、权威性及其观点立场正确性做任何保证或承诺!文档内容仅供研究参考,付费前请自行鉴别。
3、如文档内容存在违规,或者侵犯商业秘密、侵犯著作权等,请点击“违规举报”。

碎片内容

河北省元氏中学高三数学一轮复习7三角函数(1)

您可能关注的文档

远洋启航书店+ 关注
实名认证
内容提供者

从事历史教学,热爱教育,高度负责。

相关文档

确认删除?
VIP
微信客服
  • 扫码咨询
会员Q群
  • 会员专属群点击这里加入QQ群
客服邮箱
回到顶部