电脑桌面
添加小米粒文库到电脑桌面
安装后可以在桌面快捷访问

高中数学 探究导学课型 第二章 基本初等函数(I)2.1.1 指数与指数幂的运算 第2课时 指数幂及运算课后提升作业 新人教版必修1-新人教版高一必修1数学试题VIP免费

高中数学 探究导学课型 第二章 基本初等函数(I)2.1.1 指数与指数幂的运算 第2课时 指数幂及运算课后提升作业 新人教版必修1-新人教版高一必修1数学试题_第1页
1/4
高中数学 探究导学课型 第二章 基本初等函数(I)2.1.1 指数与指数幂的运算 第2课时 指数幂及运算课后提升作业 新人教版必修1-新人教版高一必修1数学试题_第2页
2/4
高中数学 探究导学课型 第二章 基本初等函数(I)2.1.1 指数与指数幂的运算 第2课时 指数幂及运算课后提升作业 新人教版必修1-新人教版高一必修1数学试题_第3页
3/4
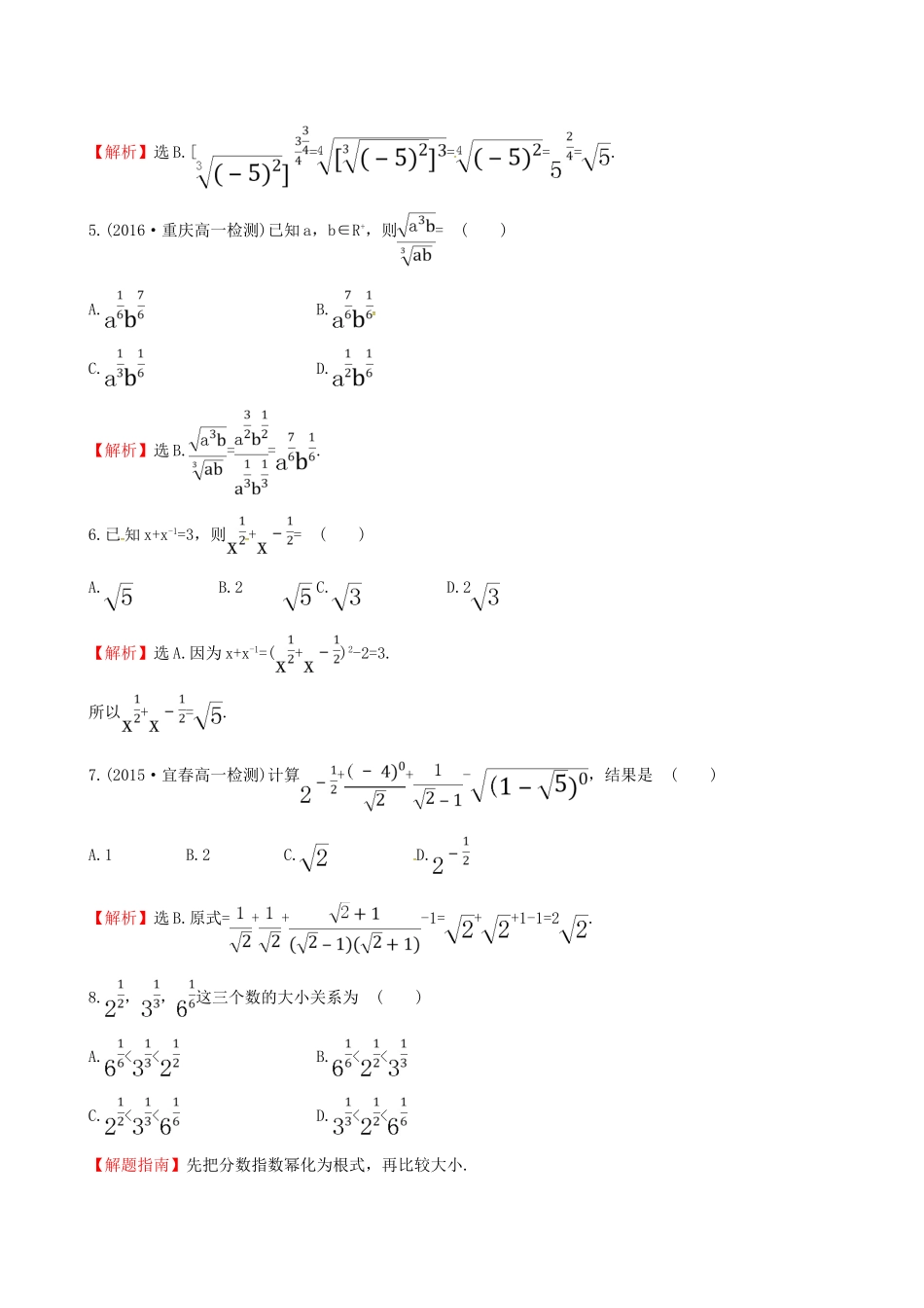
课后提升作业十五指数幂及运算(30分钟60分)一、选择题(每小题5分,共40分)1.的值是()A.B.C.D.-【解析】选B.根据分数指数幂的运算法则:===.2.(2016·常德高一检测)计算1-8×的结果是()A.1B.-2C.15D.-【解析】选A.1-8×=(24-8×=8-7=1.【补偿训练】(2015·菏泽高一检测)÷=()A.B.2C.4D.【解析】选B.÷=(23÷(2-2=4÷2=2.3.(2016·成都高一检测)下列运算正确的是()A.(3x2)3=9x6B.a6÷a2=a3C.(a+b)2=a2+b2D.22016-22015=22015【解析】选D.A中(3x2)3=27x6,B中a6÷a2=a4,C中(a+b)2=a2+b2+2ab,D中22016-22015=2×22015-22015=22015.4.化简[的结果为()A.5B.C.-D.-5【解析】选B.[====.5.(2016·重庆高一检测)已知a,b∈R+,则=()A.B.C.D.【解析】选B.==.6.已知x+x-1=3,则+=()A.B.2C.D.2【解析】选A.因为x+x-1=(+)2-2=3.所以+=.7.(2015·宜春高一检测)计算++-,结果是()A.1B.2C.D.【解析】选B.原式=++-1=++1-1=2.8.,,这三个数的大小关系为()A.<0,b>0,且ab=ba,求证:=.【证明】由ab=ba知:b=,则左边=====右边.即得证.【补偿训练】(2016·广州高一检测)求值:+0.1-2+-3π0+.【解析】+0.1-2+-3π0+=++-3×1+=+(10-1)-2+-3+=+10(-1)×(-2)+-3+=+102+-3+=+100+-3+=100.

1、当您付费下载文档后,您只拥有了使用权限,并不意味着购买了版权,文档只能用于自身使用,不得用于其他商业用途(如 [转卖]进行直接盈利或[编辑后售卖]进行间接盈利)。
2、本站所有内容均由合作方或网友上传,本站不对文档的完整性、权威性及其观点立场正确性做任何保证或承诺!文档内容仅供研究参考,付费前请自行鉴别。
3、如文档内容存在违规,或者侵犯商业秘密、侵犯著作权等,请点击“违规举报”。

碎片内容

高中数学 探究导学课型 第二章 基本初等函数(I)2.1.1 指数与指数幂的运算 第2课时 指数幂及运算课后提升作业 新人教版必修1-新人教版高一必修1数学试题

您可能关注的文档

远洋启航书店+ 关注
实名认证
内容提供者

从事历史教学,热爱教育,高度负责。

确认删除?
VIP
微信客服
  • 扫码咨询
会员Q群
  • 会员专属群点击这里加入QQ群
客服邮箱
回到顶部