电脑桌面
添加小米粒文库到电脑桌面
安装后可以在桌面快捷访问

高中数学 第一章(下)函数的基本性质练习2 新人教版必修1-新人教版高一必修1数学试题VIP免费

高中数学 第一章(下)函数的基本性质练习2 新人教版必修1-新人教版高一必修1数学试题_第1页
1/4
高中数学 第一章(下)函数的基本性质练习2 新人教版必修1-新人教版高一必修1数学试题_第2页
2/4
高中数学 第一章(下)函数的基本性质练习2 新人教版必修1-新人教版高一必修1数学试题_第3页
3/4
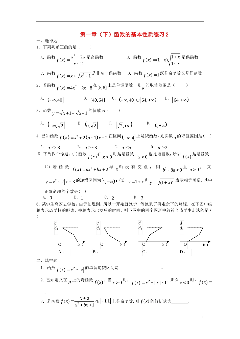
第一章(下)函数的基本性质练习2一、选择题1.下列判断正确的是()A.函数22)(2xxxxf是奇函数B.函数1()(1)1xfxxx是偶函数C.函数2()1fxxx是非奇非偶函数D.函数1)(xf既是奇函数又是偶函数2.若函数2()48fxxkx在[5,8]上是单调函数,则k的取值范围是()A.,40B.[40,64]C.,4064,D.64,3.函数11yxx的值域为()A.2,B.2,0C.,2D.,04.已知函数2212fxxax在区间4,上是减函数,则实数a的取值范围是()A.3aB.3aC.5aD.3a5.下列四个命题:(1)函数fx()在0x时是增函数,0x也是增函数,所以)(xf是增函数;(2)若函数2()2fxaxbx与x轴没有交点,则280ba且0a;(3)223yxx的递增区间为1,;(4)1yx和2(1)yx表示相等函数。其中正确命题的个数是()A.0B.1C.2D.36.某学生离家去学校,由于怕迟到,所以一开始就跑步,等跑累了再走余下的路程.在下图中纵轴表示离学校的距离,横轴表示出发后的时间,则下图中的四个图形中较符合该学生走法的是()二、填空题1.函数xxxf2)(的单调递减区间是____________________。2.已知定义在R上的奇函数()fx,当0x时,1||)(2xxxf,那么0x时,()fx.3.若函数2()1xafxxbx在1,1上是奇函数,则()fx的解析式为________.1dd0t0tOA.dd0t0tOB.dd0t0tOC.dd0t0tOD.4.奇函数()fx在区间[3,7]上是增函数,在区间[3,6]上的最大值为8,最小值为1,则2(6)(3)ff__________。5.若函数2()(32)fxkkxb在R上是减函数,则k的取值范围为__________。三、解答题1.判断下列函数的奇偶性(1)21()22xfxx(2)()0,6,22,6fxx2.已知函数()yfx的定义域为R,且对任意,abR,都有()()()fabfafb,且当0x时,()0fx恒成立,证明:(1)函数()yfx是R上的减函数;(2)函数()yfx是奇函数。3.设函数()fx与()gx的定义域是xR且1x,()fx是偶函数,()gx是奇函数,且1()()1fxgxx,求()fx和()gx的解析式.4.设a为实数,函数1||)(2axxxf,Rx(1)讨论)(xf的奇偶性;(2)求)(xf的最小值。2(数学1必修)第一章(下)[综合训练B组]一、选择题1.C选项A中的2,x而2x有意义,非关于原点对称,选项B中的1,x而1x有意义,非关于原点对称,选项D中的函数仅为偶函数;2.C对称轴8kx,则58k,或88k,得40k,或64k3.B2,111yxxx,y是x的减函数,当1,2,02xyy4.A对称轴1,14,3xaaa1.A(1)反例1()fxx;(2)不一定0a,开口向下也可;(3)画出图象可知,递增区间有1,0和1,;(4)对应法则不同6.B刚刚开始时,离学校最远,取最大值,先跑步,图象下降得快!二、填空题1.11(,],[0,]22画出图象2.21xx设0x,则0x,2()1fxxx,∵()()fxfx∴2()1fxxx,2()1fxxx3.2()1xfxx∵()()fxfx∴(0)(0),(0)0,0,01afffa即211(),(1)(1),,0122xfxffbxbxbb4.15()fx在区间[3,6]上也为递增函数,即(6)8,(3)1ff2(6)(3)2(6)(3)15ffff5.(1,2)2320,12kkk三、解答题1.解:(1)定义域为1,00,1,则22xx,21(),xfxx3∵()()fxfx∴21()xfxx为奇函数。(2)∵()()fxfx且()()fxfx∴()fx既是奇函数又是偶函数。2.证明:(1)设12xx,则120xx,而()()()fabfafb∴11221222()()()()()fxfxxxfxxfxfx∴函数()yfx是R上的减函数;(2)由()()()fabfafb得()()()fxxfxfx即()()(0)fxfxf,而(0)0f∴()()fxfx,即函数()yfx是奇函数。3.解:∵()fx是偶函数,()gx是奇函数,∴()()fxfx,且()()gxgx而1()()1fxgxx,得1()()1fxgxx,即11()()11fxgxxx,∴21()1fxx,2()1xgxx。4.解:(1)当0a时,2()||1fxxx为偶函数,当0a时,2()||1fxxxa为非奇非偶函数;(2)当xa时,2213()1(),24fxxxaxa当12a时,min13()()24fxfa,当12a时,min()fx不存在;当xa时,2213()1(),24fxxxaxa当12a时,2min()()1fxfaa,当12a时,min13()()24fxfa。4

1、当您付费下载文档后,您只拥有了使用权限,并不意味着购买了版权,文档只能用于自身使用,不得用于其他商业用途(如 [转卖]进行直接盈利或[编辑后售卖]进行间接盈利)。
2、本站所有内容均由合作方或网友上传,本站不对文档的完整性、权威性及其观点立场正确性做任何保证或承诺!文档内容仅供研究参考,付费前请自行鉴别。
3、如文档内容存在违规,或者侵犯商业秘密、侵犯著作权等,请点击“违规举报”。

碎片内容

高中数学 第一章(下)函数的基本性质练习2 新人教版必修1-新人教版高一必修1数学试题

您可能关注的文档

确认删除?
VIP
微信客服
  • 扫码咨询
会员Q群
  • 会员专属群点击这里加入QQ群
客服邮箱
回到顶部