电脑桌面
添加小米粒文库到电脑桌面
安装后可以在桌面快捷访问

高中数学 第五章 三角函数 5.5.2 简单的三角恒等变换(二)课堂检测素养达标 新人教A版必修第一册-新人教A版高一第一册数学试题VIP免费

高中数学 第五章 三角函数 5.5.2 简单的三角恒等变换(二)课堂检测素养达标 新人教A版必修第一册-新人教A版高一第一册数学试题_第1页
1/3
高中数学 第五章 三角函数 5.5.2 简单的三角恒等变换(二)课堂检测素养达标 新人教A版必修第一册-新人教A版高一第一册数学试题_第2页
2/3
高中数学 第五章 三角函数 5.5.2 简单的三角恒等变换(二)课堂检测素养达标 新人教A版必修第一册-新人教A版高一第一册数学试题_第3页
3/3
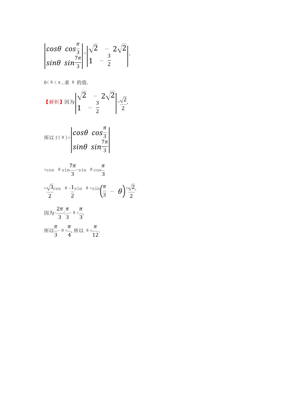
5.5.2简单的三角恒等变换(二)课堂检测·素养达标1.将函数y=sin2x的图象向左平移个单位,再向上平移1个单位,所得图象的函数解析式是()A.y=2cos2xB.y=2sin2xC.y=1+sinD.y=cos2x【解析】选A.将函数y=sin2x的图象向左平移个单位,得到函数y=sin2,即y=sin=cos2x的图象,再向上平移1个单位,所得图象的函数解析式为y=1+cos2x=2cos2x.2.函数f(x)=sinx+cosx的最大值是()A.B.C.D.2【解析】选B.因为f(x)=sinx+cosx=sin,所以当x=2kπ+(k∈Z)时,取得最大值为.3.函数y=sin2x+cos2x的最小正周期为________.【解析】因为y=sin2x+cos2x=sin2x+cos2x+=sin+,所以函数的最小正周期T==π.答案:π【新情境·新思维】形如的符号叫二阶行列式,现规定=a11a22-a21a12,如果f(θ)==,0<θ<π,求θ的值.【解析】因为=,所以f(θ)==cosθsin-sinθcos=cosθ-sinθ=sin=,因为-<-θ<,所以-θ=,所以θ=.

1、当您付费下载文档后,您只拥有了使用权限,并不意味着购买了版权,文档只能用于自身使用,不得用于其他商业用途(如 [转卖]进行直接盈利或[编辑后售卖]进行间接盈利)。
2、本站所有内容均由合作方或网友上传,本站不对文档的完整性、权威性及其观点立场正确性做任何保证或承诺!文档内容仅供研究参考,付费前请自行鉴别。
3、如文档内容存在违规,或者侵犯商业秘密、侵犯著作权等,请点击“违规举报”。

碎片内容

高中数学 第五章 三角函数 5.5.2 简单的三角恒等变换(二)课堂检测素养达标 新人教A版必修第一册-新人教A版高一第一册数学试题

您可能关注的文档

确认删除?
VIP
微信客服
  • 扫码咨询
会员Q群
  • 会员专属群点击这里加入QQ群
客服邮箱
回到顶部