电脑桌面
添加小米粒文库到电脑桌面
安装后可以在桌面快捷访问

浙江省磐安县第二中学高一数学 集合 单元测试VIP免费

浙江省磐安县第二中学高一数学 集合 单元测试_第1页
1/5
浙江省磐安县第二中学高一数学 集合 单元测试_第2页
2/5
浙江省磐安县第二中学高一数学 集合 单元测试_第3页
3/5
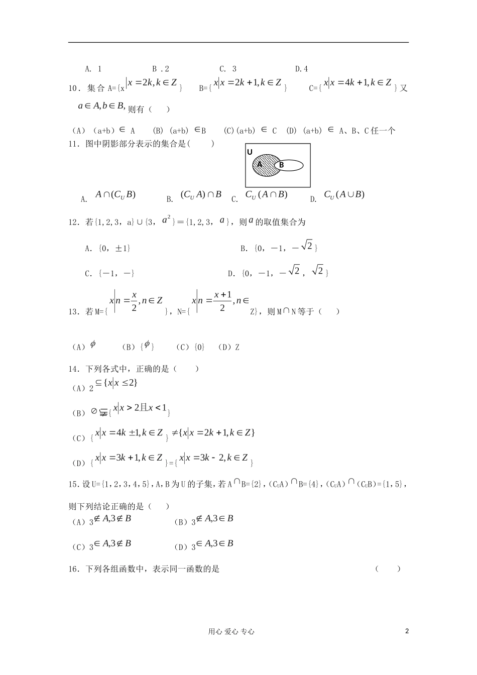
浙江省磐安县第二中学高一数学集合单元测试3.下列八个关系式①{0}=②=0③{}④{}⑤{0}⑥0⑦{0}⑧{}其中正确的个数()(A)4(B)5(C)6(D)74.下列语句:(1)0与{0}表示同一个集合;(2)由1,2,3组成的集合可表示为{1,2,3}或{3,2,1};(3)方程(1)(1)(2)0xxx的所有解的集合可表示为{1,1,2};(4)集合{54xx}是有限集,正确的是()(A)只有(1)和(4)(B)只有(2)和(3)(C)只有(2)(D)以上语句都不对5.设集合A={2,3},B={2,3,4},C={3,4,5}则ABC()()A.{2,3,4}B.{2,3,5}C.{3,4,5}D.{2,3,4,5}6.设A、B是全集U的两个子集,且AB,则下列式子成立的是()(A)CUACUB(B)CUACUB=U(C)ACUB=(D)CUAB=7.设,,若,则实数的取值范围是()(A)(B)(C)(D)8.函数21)(xxxf的定义域为()A.[1,2)∪(2,+∞)B.(1,+∞)C.[1,2)D.[1,+∞)9.函数f(x)=2(1)xxx,0,0xx,则(2)f=()用心爱心专心1A.1B.2C.3D.410.集合A={xZkkx,2}B={Zkkxx,12}C={Zkkxx,14}又,,BbAa则有()(A)(a+b)A(B)(a+b)B(C)(a+b)C(D)(a+b)A、B、C任一个11.图中阴影部分表示的集合是()A.)(BCAUB.BACU)(C.)(BACUD.()UCAB12.若{1,2,3,a}∪{3,2a}={1,2,3,a},则a的取值集合为A.{0,±1}B.{0,-1,-2}C.{-1,-}D.{0,-1,-2,2}13.若M={Znxnx,2},N={nxnx,21Z},则MN等于()(A)(B){}(C){0}(D)Z14.下列各式中,正确的是()(A)2}2{xx(B){12xxx且}(C){Zkkxx,14}},12{Zkkxx(D){Zkkxx,13}={Zkkxx,23}15.设U={1,2,3,4,5},A,B为U的子集,若AB={2},(CUA)B={4},(CUA)(CUB)={1,5},则下列结论正确的是()(A)3BA3,(B)3BA3,(C)3BA3,(D)3BA3,16.下列各组函数中,表示同一函数的是()用心爱心专心2ABUA.0,xyxyxB.1,112xyxxyC.2,yxyxD.2)(|,|xyxy17.设M={x|-2≤x≤2},N={y|0≤y≤2},函数f(x)的定义域为M,值域为N,则f(x)的图象可以是()18.若U、分别表示全集和空集,且(CUA)BA,则集合A与B必须满足()(A)(B)A=(C)B=(D)A=U且AB二、填空题(17×2=34分)1.在直角坐标系中,坐标轴上的点的集合可表示为2.若A={1,4,x},B={1,x2}且AB=B,则x=3集合{1,2,3}的子集有个,写出它的非空真子集4.设U={0,1,2,3,4},A={0,1,2,3},B={2,3,4},则(CUA)(CUB)=5方程2560xx的解集可表示为方程组的解集可表示为0231332yxyx6若21,,0,,baaaba,则20112012ab的值为7.设集合A={23xx},B={x1212kxk},且AB,则实数k的取值范围是。8.设全集U={xx为小于20的非负奇数},若A(CUB)={3,7,15},用心爱心专心3(CUA)B={13,17,19},又(CUA)(CUB)=,则AB=9.设U={三角形},M={直角三角形},N={等腰三角形},则MN=MN=CUM=CUN=CU(MN)=10.设全集为,用集合A、B、C的交、并、补集符号表图中的阴影部分。(1)(2)(3)三、解答题1.设全集U={1,2,3,4},且A={xx2-5x+m=0,xU}若CUA={1,4},求m的值。(4分)2.已知集合A={a2,a+1,-3},B={a-3,2a-1,a2+1},若AB={-3},求实数a。(6分)3.设全集U={xx*,5Nx且},集合A={x052qxx},B={xx2+px+12=0},且(CUA)B={1,4,3,5},求实数P、q的值。(6分)4.设A={x}01)1(2{,04222axaxxBxx,其中xR,如果AB=B,求实数a的取值范围。(7分)用心爱心专心45.已知集合|3,|15AxaxaBxxx或,(1)若AB,求实数a的取值范围;(2)若AB,求实数a的取值范围。(7分)用心爱心专心5

1、当您付费下载文档后,您只拥有了使用权限,并不意味着购买了版权,文档只能用于自身使用,不得用于其他商业用途(如 [转卖]进行直接盈利或[编辑后售卖]进行间接盈利)。
2、本站所有内容均由合作方或网友上传,本站不对文档的完整性、权威性及其观点立场正确性做任何保证或承诺!文档内容仅供研究参考,付费前请自行鉴别。
3、如文档内容存在违规,或者侵犯商业秘密、侵犯著作权等,请点击“违规举报”。

碎片内容

浙江省磐安县第二中学高一数学 集合 单元测试

您可能关注的文档

海博书城+ 关注
实名认证
内容提供者

从事历史教学,热爱教育,高度负责。

确认删除?
VIP
微信客服
  • 扫码咨询
会员Q群
  • 会员专属群点击这里加入QQ群
客服邮箱
回到顶部