电脑桌面
添加小米粒文库到电脑桌面
安装后可以在桌面快捷访问

高考数学 高频考点名师揭秘与仿真测试 专题07 函数 函数的基本性质 --函数的周期性 理-人教版高三全册数学试题VIP免费

高考数学 高频考点名师揭秘与仿真测试 专题07 函数 函数的基本性质 --函数的周期性 理-人教版高三全册数学试题_第1页
1/10
高考数学 高频考点名师揭秘与仿真测试 专题07 函数 函数的基本性质 --函数的周期性 理-人教版高三全册数学试题_第2页
2/10
高考数学 高频考点名师揭秘与仿真测试 专题07 函数 函数的基本性质 --函数的周期性 理-人教版高三全册数学试题_第3页
3/10
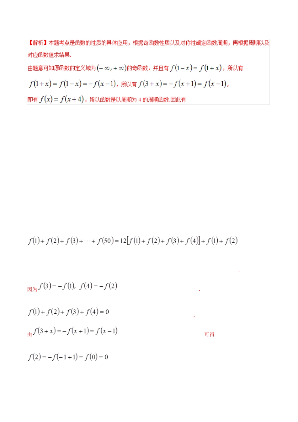
07函数函数的基本性质--函数的周期性【考点讲解】一、具本目标:了解函数的周期性、最小正周期的含义,会判断、应用简单函数的周期性.二、知识概述:1.函数的周期性(1)对于函数f(x),如果存在一个__非零常数__T,使得当x取定义域内的每一个值时,都有__f(x+T)=f(x)__,那么函数f(x)就叫做周期函数,T叫做这个函数的周期.(2)如果在周期函数f(x)的所有周期中存在一个最小的正数,那么这个最小正数就叫做f(x)的__最小__正周期.2.函数周期性的常用结论对f(x)定义域内任一自变量x的值:(1)若f(x+a)=-f(x),则T=2a(a>0);(2)若f(x+a)=,则T=2a(a>0);(3)若f(x+a)=-,则T=2a(a>0).3.函数的对称性与周期性的关系(1)如果函数f(x)(x∈D)在定义域内有两条对称轴x=a,x=b(a0在[-1,3]上的解集为()A.(1,3)B.(-1,1)C.(-1,0)∪(1,3)D.(-1,0)∪(0,1)【解析】f(x)的图象如图.当x∈[-1,0)时,由xf(x)>0得x∈(-1,0);当x∈[0,1)时,xf(x)>0无解;当x∈[1,3]时,由xf(x)>0得x∈(1,3).故x∈(-1,0)∪(1,3).【答案】C【变式】(1)【2014·安徽高考】若函数f(x)(x∈R)是周期为4的奇函数,且在[0,2]上的解析式为f(x)=则=________.又因为f(x)是奇函数,所以有【答案】【变式】(2)【2017山东】已知f(x)是定义在R上的偶函数,且f(x+4)=f(x-2).若当时,,则f(919)=【解析】由f(x+4)=f(x-2)可知,是周期函数,且,所以.在此范围内,且时,设,且互质,若,则由,可设,且互质.从而,则,此时左边为整数,右边为非整数,矛盾,因此,于是不可能与内的部分对应相等,所以只需要考虑与每个周期内部分的交点.如图所示,通过函数的草图分析,图中交点除外,其它交点均为的部分.且当时,,所以在附近只有一个交点,因而方程解的个数为个.故填.【答案】8【模拟考场】1.(2016山东理9)已知函数的定义域为.当时,;当时,;当时,,则().A.B.C.D.【解析】由知,当时,的周期为,所以.又当时,,所以.于是.故选D.【答案】D2.【2014·大纲全国卷】奇函数f(x)的定义域为R.若f(x+2)为偶函数,且f(1)=1,则f(8)+f(9)=()A.-2B.-1C.0D.1【答案】D3.【2014·安徽高考】设函数f(x)(x∈R)满足f(x+π)=f(x)+sinx.当0≤x<π时,f(x)=0,则=()A.B.C.0D.-【解析】因为f(x+π)=f(x)+sinx,所以f(x+2π)=f(x+π)-sinx.所以f(x+2π)=f(x)+sinx-sinx=f(x).所以f(x)是以2π为周期的周期函数.又,,所以..因为当0≤x<π时,f(x)=0,所以,所以.故选A.【答案】A4.已知,方程在[0,1]内有且只有一个根,则在区间内根的个数为()A.2011B.1006C.2013D.1007【答案】C5.【2017湖南统一考试】已知定义域为的奇函数满足,且当时,,则()A.-2B.C.3D.【解析】因为奇函数满足,所以,即周期为3,所以,故选D.【答案】D6.【2016高考四川文科】已知函数是定义在R上的周期为2的奇函数,当0<x<1时,,则=.【解析】因为函数是定义在上周期为2的奇函数,所以所以,即,,所以.【答案】-27.【2014四川,文13】设是定义在R上的周期为2的函数,当时,,则.【解析】因为是定义在R上的周...

1、当您付费下载文档后,您只拥有了使用权限,并不意味着购买了版权,文档只能用于自身使用,不得用于其他商业用途(如 [转卖]进行直接盈利或[编辑后售卖]进行间接盈利)。
2、本站所有内容均由合作方或网友上传,本站不对文档的完整性、权威性及其观点立场正确性做任何保证或承诺!文档内容仅供研究参考,付费前请自行鉴别。
3、如文档内容存在违规,或者侵犯商业秘密、侵犯著作权等,请点击“违规举报”。

碎片内容

高考数学 高频考点名师揭秘与仿真测试 专题07 函数 函数的基本性质 --函数的周期性 理-人教版高三全册数学试题

您可能关注的文档

确认删除?
VIP
微信客服
  • 扫码咨询
会员Q群
  • 会员专属群点击这里加入QQ群
客服邮箱
回到顶部