电脑桌面
添加小米粒文库到电脑桌面
安装后可以在桌面快捷访问

高考数学二轮复习 大题分层练(八)解析几何、函数与导数(D组)文-人教版高三全册数学试题VIP免费

高考数学二轮复习 大题分层练(八)解析几何、函数与导数(D组)文-人教版高三全册数学试题_第1页
1/3
高考数学二轮复习 大题分层练(八)解析几何、函数与导数(D组)文-人教版高三全册数学试题_第2页
2/3
高考数学二轮复习 大题分层练(八)解析几何、函数与导数(D组)文-人教版高三全册数学试题_第3页
3/3
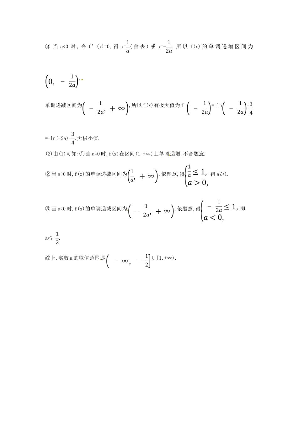
大题分层练(八)解析几何、函数与导数(D组)1.过椭圆C:+=1(a>b>0)右焦点F(1,0)的直线与椭圆C交于A,B两点,自A,B向直线x=5作垂线,垂足分别为A1,B1,且=.(1)求椭圆C的方程.(2)记△AFA1,△FA1B1,△BFB1的面积分别为S1,S2,S3,证明:是定值,并求出该定值.【解析】(1)设A(x,y),则|AA1|=|5-x|,|AF|=,由=,得+=1,而A是椭圆C上的任一点,所以椭圆C的方程为+=1.(2)由题意知,直线AB的斜率不可以为0,而可以不存在,所以可设直线AB的方程为x=my+1.设A(x1,y1),B(x2,y2),由得(4m2+5)y2+8my-16=0,所以y1+y2=-,y1y2=-.①由题意得,S1=|AA1||y1|=|5-x1||y1|,S3=|BB1||y2|=|5-x2||y2|,S2=|A1B1|·4=2|y1-y2|,所以=·=·=-·,将①代入,化简并计算可得=,所以是定值,且该定值为.2.已知函数f(x)=lnx-a2x2+ax(a∈R).(1)求f(x)的单调区间与极值.(2)若函数在区间(1,+∞)上单调递减,求实数a的取值范围.【解析】(1)函数f(x)=lnx-a2x2+ax的定义域为(0,+∞),f′(x)=-2a2x+a==.①当a=0时,f′(x)=>0,所以f(x)的单调递增区间为(0,+∞),此时f(x)无极值.②当a>0时,令f′(x)=0,得x=或x=-(舍去).f(x)的单调递增区间为,单调递减区间为,所以f(x)有极大值为f=-lna,无极小值.③当a<0时,令f′(x)=0,得x=(舍去)或x=-,所以f(x)的单调递增区间为,单调递减区间为,所以f(x)有极大值为f=ln-=-ln(-2a)-,无极小值.(2)由(1)可知:①当a=0时,f(x)在区间(1,+∞)上单调递增,不合题意.②当a>0时,f(x)的单调递减区间为,依题意,得得a≥1.③当a<0时,f(x)的单调递减区间为,依题意,得即a≤-.综上,实数a的取值范围是∪[1,+∞).

1、当您付费下载文档后,您只拥有了使用权限,并不意味着购买了版权,文档只能用于自身使用,不得用于其他商业用途(如 [转卖]进行直接盈利或[编辑后售卖]进行间接盈利)。
2、本站所有内容均由合作方或网友上传,本站不对文档的完整性、权威性及其观点立场正确性做任何保证或承诺!文档内容仅供研究参考,付费前请自行鉴别。
3、如文档内容存在违规,或者侵犯商业秘密、侵犯著作权等,请点击“违规举报”。

碎片内容

高考数学二轮复习 大题分层练(八)解析几何、函数与导数(D组)文-人教版高三全册数学试题

您可能关注的文档

海博书城+ 关注
实名认证
内容提供者

从事历史教学,热爱教育,高度负责。

确认删除?
VIP
微信客服
  • 扫码咨询
会员Q群
  • 会员专属群点击这里加入QQ群
客服邮箱
回到顶部