电脑桌面
添加小米粒文库到电脑桌面
安装后可以在桌面快捷访问

高中数学 第四章 指数函数与对数函数 4.1.1 n次方根与分数指数幂课堂检测素养达标 新人教A版必修第一册-新人教A版高一第一册数学试题VIP免费

高中数学 第四章 指数函数与对数函数 4.1.1 n次方根与分数指数幂课堂检测素养达标 新人教A版必修第一册-新人教A版高一第一册数学试题_第1页
1/3
高中数学 第四章 指数函数与对数函数 4.1.1 n次方根与分数指数幂课堂检测素养达标 新人教A版必修第一册-新人教A版高一第一册数学试题_第2页
2/3
高中数学 第四章 指数函数与对数函数 4.1.1 n次方根与分数指数幂课堂检测素养达标 新人教A版必修第一册-新人教A版高一第一册数学试题_第3页
3/3
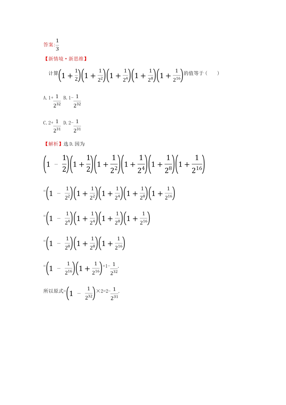
4.1.1n次方根与分数指数幂课堂检测·素养达标1.已知m10=2,则m等于()A.B.-C.D.±【解析】选D.因为m10=2,所以m是2的10次方根,又因为10是偶数,所以2的10次方根有两个,且互为相反数,所以m=±.2.将化成分数指数幂为()A.B.C.D.【解析】选D.=.3.++的值为()A.-6B.2-2C.2D.6【解析】选A.=-6,=|-4|=4-,=-4,所以原式=-6+4-+-4=-6.4.计算:(-27×=________.【解析】(-27×=[(-3)3×(32=(-3)2×3-3=9×=.答案:【新情境·新思维】计算的值等于()A.1+B.1-C.2+D.2-【解析】选D.因为=====1-.所以原式=×2=2-.

1、当您付费下载文档后,您只拥有了使用权限,并不意味着购买了版权,文档只能用于自身使用,不得用于其他商业用途(如 [转卖]进行直接盈利或[编辑后售卖]进行间接盈利)。
2、本站所有内容均由合作方或网友上传,本站不对文档的完整性、权威性及其观点立场正确性做任何保证或承诺!文档内容仅供研究参考,付费前请自行鉴别。
3、如文档内容存在违规,或者侵犯商业秘密、侵犯著作权等,请点击“违规举报”。

碎片内容

高中数学 第四章 指数函数与对数函数 4.1.1 n次方根与分数指数幂课堂检测素养达标 新人教A版必修第一册-新人教A版高一第一册数学试题

您可能关注的文档

确认删除?
VIP
微信客服
  • 扫码咨询
会员Q群
  • 会员专属群点击这里加入QQ群
客服邮箱
回到顶部