电脑桌面
添加小米粒文库到电脑桌面
安装后可以在桌面快捷访问

河北省邯郸市临漳县高中数学《1.2.3 函数的基本性质2》训练题 新人教A版必修1VIP免费

河北省邯郸市临漳县高中数学《1.2.3 函数的基本性质2》训练题 新人教A版必修1_第1页
1/4
河北省邯郸市临漳县高中数学《1.2.3 函数的基本性质2》训练题 新人教A版必修1_第2页
2/4
河北省邯郸市临漳县高中数学《1.2.3 函数的基本性质2》训练题 新人教A版必修1_第3页
3/4
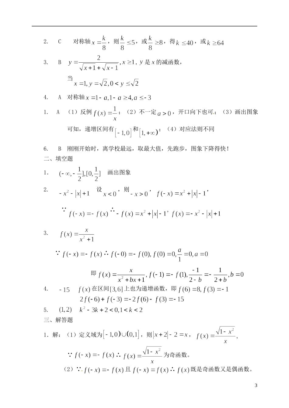
函数的基本性质训练题2一、选择题1.下列判断正确的是()A.函数是奇函数B.函数是偶函数C.函数是非奇非偶函数D.函数既是奇函数又是偶函数2.若函数在上是单调函数,则的取值范围是()A.B.C.D.3.函数的值域为()A.B.C.D.4.已知函数在区间上是减函数,则实数的取值范围是()A.B.C.D.5.下列四个命题:(1)函数在时是增函数,也是增函数,所以是增函数;(2)若函数与轴没有交点,则且;(3)的递增区间为;(4)和表示相等函数。其中正确命题的个数是()A.B.C.D.6.某学生离家去学校,由于怕迟到,所以一开始就跑步,等跑累了再走余下的路程.在下图中纵轴表示离学校的距离,横轴表示出发后的时间,则下图中的四个图形中较符合该学生走法的是()二、填空题1.函数的单调递减区间是____________________。dd0t0tOA.dd0t0tOB.dd0t0tOC.dd0t0tOD.12.已知定义在上的奇函数,当时,,那么时,.3.若函数在上是奇函数,则的解析式为________.4.奇函数在区间上是增函数,在区间上的最大值为,最小值为,则__________。5.若函数在上是减函数,则的取值范围为__________。三、解答题1.判断下列函数的奇偶性(1)(2)2.已知函数的定义域为,且对任意,都有,且当时,恒成立,证明:(1)函数是上的减函数;(2)函数是奇函数。3.设函数与的定义域是且,是偶函数,是奇函数,且,求和的解析式.4.设为实数,函数,(1)讨论的奇偶性;(2)求的最小值。作业5函数的基本性质训练题2答案一、选择题1.C选项A中的而有意义,非关于原点对称,选项B中的而有意义,非关于原点对称,选项D中的函数仅为偶函数;22.C对称轴,则,或,得,或3.B,是的减函数,当4.A对称轴1.A(1)反例;(2)不一定,开口向下也可;(3)画出图象可知,递增区间有和;(4)对应法则不同6.B刚刚开始时,离学校最远,取最大值,先跑步,图象下降得快!二、填空题1.画出图象2.设,则,,∵∴,3.∵∴即4.在区间上也为递增函数,即5.三、解答题1.解:(1)定义域为,则,∵∴为奇函数。(2)∵且∴既是奇函数又是偶函数。32.证明:(1)设,则,而∴∴函数是上的减函数;(2)由得即,而∴,即函数是奇函数。3.解:∵是偶函数,是奇函数,∴,且而,得,即,∴,。4.解:(1)当时,为偶函数,当时,为非奇非偶函数;(2)当时,当时,,当时,不存在;当时,当时,,当时,。4

1、当您付费下载文档后,您只拥有了使用权限,并不意味着购买了版权,文档只能用于自身使用,不得用于其他商业用途(如 [转卖]进行直接盈利或[编辑后售卖]进行间接盈利)。
2、本站所有内容均由合作方或网友上传,本站不对文档的完整性、权威性及其观点立场正确性做任何保证或承诺!文档内容仅供研究参考,付费前请自行鉴别。
3、如文档内容存在违规,或者侵犯商业秘密、侵犯著作权等,请点击“违规举报”。

碎片内容

河北省邯郸市临漳县高中数学《1.2.3 函数的基本性质2》训练题 新人教A版必修1

您可能关注的文档

海博书城+ 关注
实名认证
内容提供者

从事历史教学,热爱教育,高度负责。

确认删除?
VIP
微信客服
  • 扫码咨询
会员Q群
  • 会员专属群点击这里加入QQ群
客服邮箱
回到顶部