电脑桌面
添加小米粒文库到电脑桌面
安装后可以在桌面快捷访问

高中数学 第一章(中)函数及其表示练习3 新人教版必修1-新人教版高一必修1数学试题VIP免费

高中数学 第一章(中)函数及其表示练习3 新人教版必修1-新人教版高一必修1数学试题_第1页
1/4
高中数学 第一章(中)函数及其表示练习3 新人教版必修1-新人教版高一必修1数学试题_第2页
2/4
高中数学 第一章(中)函数及其表示练习3 新人教版必修1-新人教版高一必修1数学试题_第3页
3/4
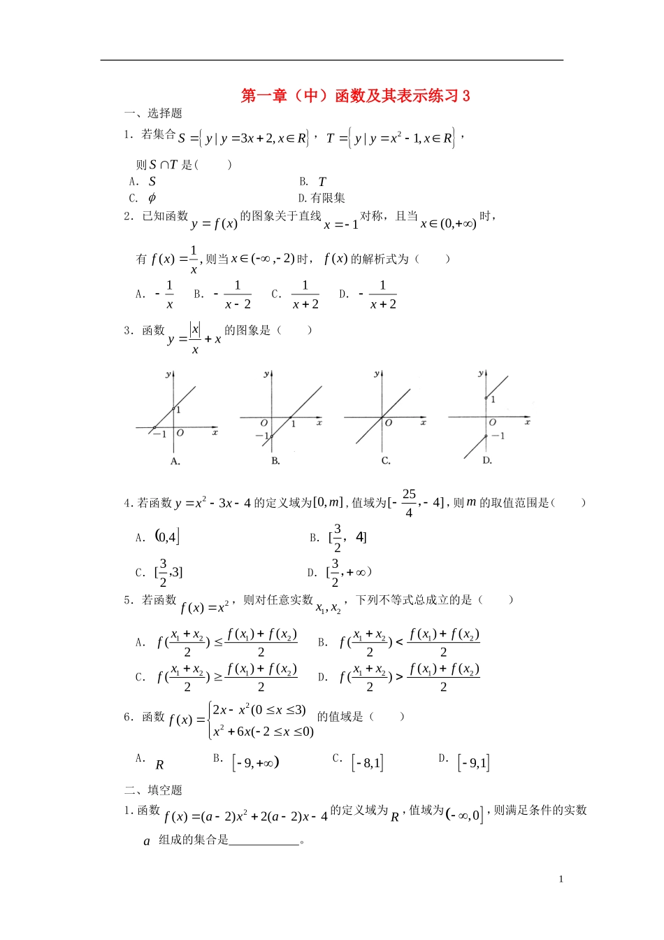
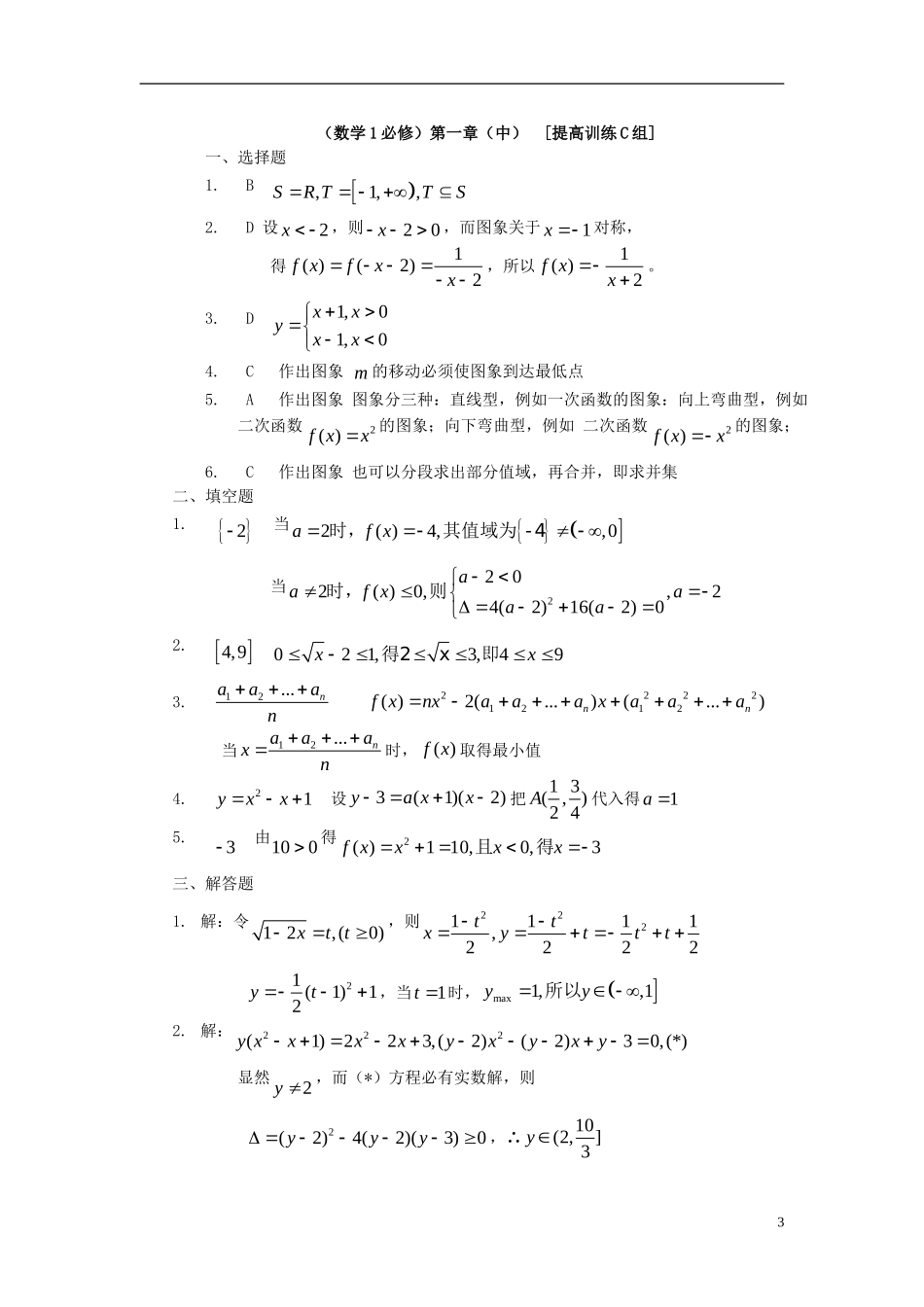
第一章(中)函数及其表示练习3一、选择题1.若集合|32,SyyxxR,2|1,TyyxxR,则ST是()A.SB.TC.D.有限集2.已知函数)(xfy的图象关于直线1x对称,且当),0(x时,有,1)(xxf则当)2,(x时,)(xf的解析式为()A.x1B.21xC.21xD.21x3.函数xxxy的图象是()4.若函数234yxx的定义域为[0,]m,值域为25[4]4,,则m的取值范围是()A.4,0B.3[]2,4C.3[3]2,D.3[2,)5.若函数2()fxx,则对任意实数12,xx,下列不等式总成立的是()A.12()2xxf12()()2fxfxB.12()2xxf12()()2fxfxC.12()2xxf12()()2fxfxD.12()2xxf12()()2fxfx6.函数222(03)()6(20)xxxfxxxx的值域是()A.RB.9,C.8,1D.9,1二、填空题1.函数2()(2)2(2)4fxaxax的定义域为R,值域为,0,则满足条件的实数a组成的集合是。12.设函数fx()的定义域为[]01,,则函数fx()2的定义域为__________。3.当_______x时,函数22212()()()...()nfxxaxaxa取得最小值。4.二次函数的图象经过三点13(,),(1,3),(2,3)24ABC,则这个二次函数的解析式为。5.已知函数)0(2)0(1)(2xxxxxf,若()10fx,则x。三、解答题1.求函数xxy21的值域。2.利用判别式方法求函数132222xxxxy的值域。3.已知,ab为常数,若22()43,()1024,fxxxfaxbxx则求ba5的值。4.对于任意实数x,函数2()(5)65fxaxxa恒为正值,求a的取值范围。2(数学1必修)第一章(中)[提高训练C组]一、选择题1.B,1,,SRTTS2.D设2x,则20x,而图象关于1x对称,得1()(2)2fxfxx,所以1()2fxx。3.D1,01,0xxyxx4.C作出图象m的移动必须使图象到达最低点5.A作出图象图象分三种:直线型,例如一次函数的图象:向上弯曲型,例如二次函数2()fxx的图象;向下弯曲型,例如二次函数2()fxx的图象;6.C作出图象也可以分段求出部分值域,再合并,即求并集二、填空题1.2当2()4,,0afx时,其值域为-4当2202()0,,24(2)16(2)0aafxaaa时,则2.4,9021,3,49xx得2x即3.12...naaan22221212()2(...)(...)nnfxnxaaaxaaa当12...naaaxn时,()fx取得最小值4.21yxx设3(1)(2)yaxx把13(,)24A代入得1a5.3由100得2()110,0,3fxxxx且得三、解答题1.解:令12,(0)xtt,则2221111,2222ttxyttt21(1)12yt,当1t时,max1,,1yy所以2.解:222(1)223,(2)(2)30,(*)yxxxxyxyxy显然2y,而(*)方程必有实数解,则2(2)4(2)(3)0yyy,∴10(2,]3y33.解:22()()4()31024,faxbaxbaxbxx2222(24)431024,axabaxbbxx∴22124104324aababb得13ab,或17ab∴52ab。4.解:显然50a,即5a,则50364(5)(5)0aaa得25160aa,∴44a.4

1、当您付费下载文档后,您只拥有了使用权限,并不意味着购买了版权,文档只能用于自身使用,不得用于其他商业用途(如 [转卖]进行直接盈利或[编辑后售卖]进行间接盈利)。
2、本站所有内容均由合作方或网友上传,本站不对文档的完整性、权威性及其观点立场正确性做任何保证或承诺!文档内容仅供研究参考,付费前请自行鉴别。
3、如文档内容存在违规,或者侵犯商业秘密、侵犯著作权等,请点击“违规举报”。

碎片内容

高中数学 第一章(中)函数及其表示练习3 新人教版必修1-新人教版高一必修1数学试题

您可能关注的文档

确认删除?
VIP
微信客服
  • 扫码咨询
会员Q群
  • 会员专属群点击这里加入QQ群
客服邮箱
回到顶部