电脑桌面
添加小米粒文库到电脑桌面
安装后可以在桌面快捷访问

高考数学二轮复习 疯狂专练10 直线与圆(文)-人教版高三全册数学试题VIP免费

高考数学二轮复习 疯狂专练10 直线与圆(文)-人教版高三全册数学试题_第1页
1/10
高考数学二轮复习 疯狂专练10 直线与圆(文)-人教版高三全册数学试题_第2页
2/10
高考数学二轮复习 疯狂专练10 直线与圆(文)-人教版高三全册数学试题_第3页
3/10
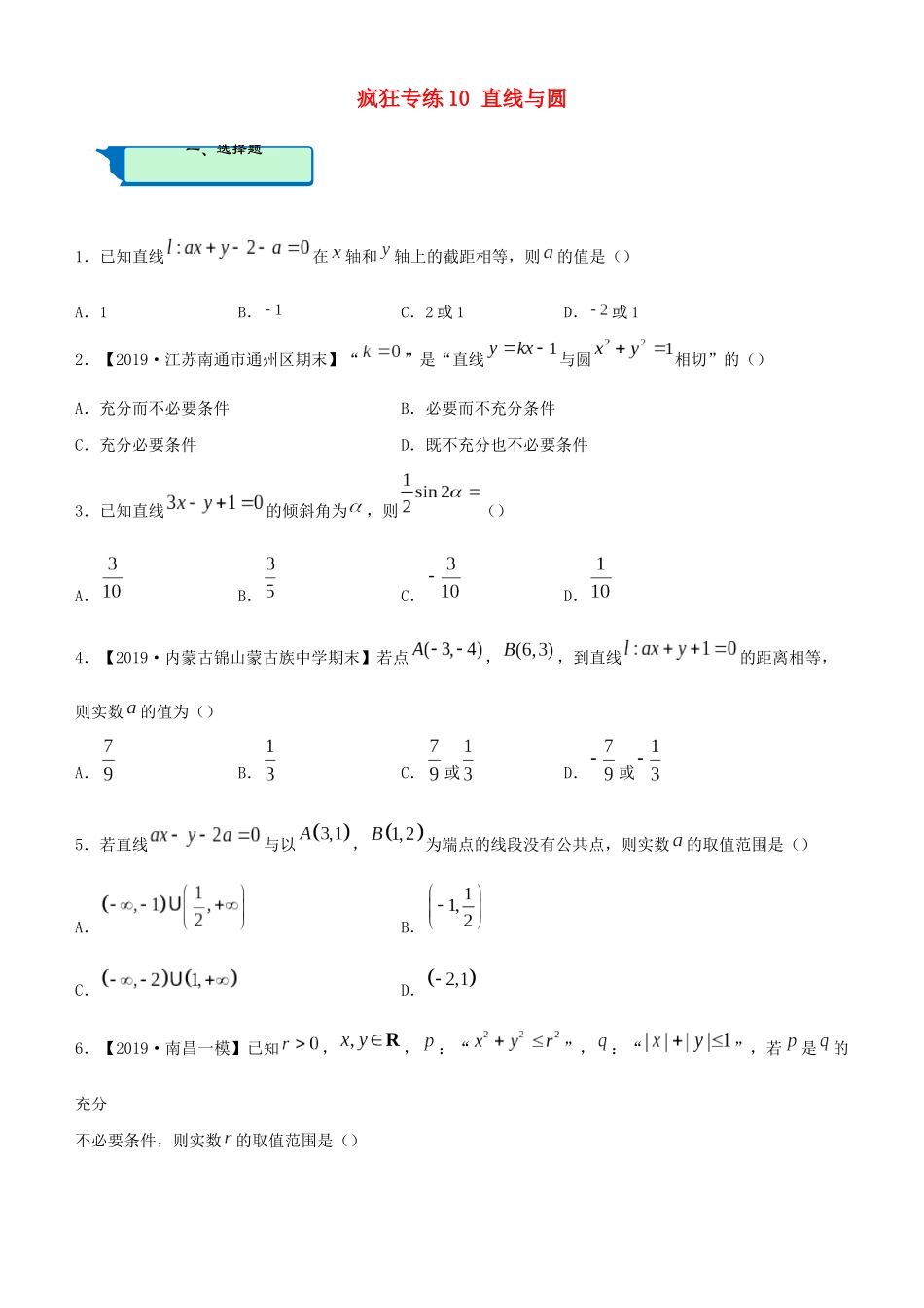
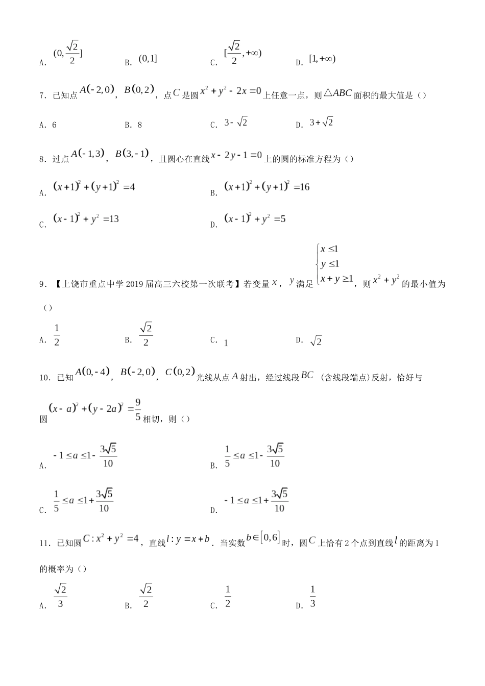
一、选择题疯狂专练10直线与圆1.已知直线在轴和轴上的截距相等,则的值是()A.1B.C.2或1D.或12.【2019·江苏南通市通州区期末】“”是“直线与圆相切”的()A.充分而不必要条件B.必要而不充分条件C.充分必要条件D.既不充分也不必要条件3.已知直线的倾斜角为,则()A.B.C.D.4.【2019·内蒙古锦山蒙古族中学期末】若点,,到直线的距离相等,则实数的值为()A.B.C.或D.或5.若直线与以,为端点的线段没有公共点,则实数的取值范围是()A.B.C.D.6.【2019·南昌一模】已知,,:“”,:“”,若是的充分不必要条件,则实数的取值范围是()A.B.C.D.7.已知点,,点是圆上任意一点,则面积的最大值是()A.6B.8C.D.8.过点,,且圆心在直线上的圆的标准方程为()A.B.C.D.9.【上饶市重点中学2019届高三六校第一次联考】若变量,满足,则的最小值为()A.B.C.D.10.已知,,光线从点射出,经过线段(含线段端点)反射,恰好与圆相切,则()A.B.C.D.11.已知圆,直线.当实数时,圆上恰有2个点到直线的距离为1的概率为()A.B.C.D.二、填空题12.【2019·北京市朝阳区综合练习】已知圆,直线,若直线上存在点,过点引圆的两条切线,,使得,则实数的取值范围是()A.B.C.D.13.已知直线不通过第一象限,则实数的取值范围__________.14.【2019·贵州省凯里市第一中学模拟考试】已知直线与圆相交于,两点,为坐标原点,且,则实数的值为.15.【2019·上饶市联考】已知点,若上存在点,使得,则的取值范围是________.16.【2019·上饶市联考】已知中,,,,点是线段上一动点,点是以点为圆心、为半径的圆上一动点,若,则的最大值为______.答案与解析一、选择题1.【答案】D【解析】当时,直线方程为,显然不符合题意,当时,令时,得到直线在轴上的截距是,令时,得到直线在轴上的截距为,根据题意得,解得或,故选D.2.【答案】C【解析】若直线与圆相切,则圆心到直线的距离,即,得,得,,即“”是“直线与圆相切”的充要条件.3.【答案】A【解析】直线的倾斜角为,∴,∴,故选A.4.【答案】D【解析】由题意知点和点到直线的距离相等得到,化简得或,解得或.5.【答案】D【解析】直线可化为, 该直线过点,∴,解得;又 该直线过点,∴,解得,又直线与线段没有公共点,∴实数的取值范围是.故选D.6.【答案】A【解析】“”,“”表示的平面区域如图所示,由是的充分不必要条件,则圆心到直线的距离小于等于,即.7.【答案】D【解析】 为定值,∴当到直线距离最大时,面积取最大值, 点是圆,上任意一点,∴到直线距离最大为圆心到直线距离加半径1,即为,从而面积的最大值是,故选D.8.【答案】B【解析】过的直线方程为,、的中点为,∴的垂直平分线为,∴圆心坐标为,解得,即圆心坐标为,半径为,∴圆的方程为,故选B.9.【答案】A【解析】画出变量,满足的可行域为内及边界,如图所示,再由的几何意义表示为原点到区域内的点距离的平方,所以的最小值是原点到直线的距离的平方,直线,即,所以,故选A.10.【答案】D【解析】如图,关于对称点,要使反射光线与圆相切,只需使得射线,与圆相切即可,而直线的方程为,直线为.由,,得,,,结合图象可知,故选D.11.【答案】A【解析】圆的圆心坐标为,半径为2,直线为.由,即时,圆上恰有一个点到直线距离为1,由,即时,圆上恰有3个点到直线距离为1.∴当时,圆上恰有2个点到直线的距离为1,故概率为,故选A.12.【答案】D【解析】圆,半径,设,因为两切线,如下图,,由切线性质定理,知:,,,所以四边形为正方形,所以,二、填空题则,即点的轨迹是以为圆心,为半径的圆.直线过定点,直线方程即,只要直线与点的轨迹(圆)有交点即可,即大圆的圆心到直线的距离小于等于半径,即:,解得,即实数的取值范围是.13.【答案】【解析】由题意得直线恒过定点,且斜率为, 直线不通过第一象限,∴,解得,故实数的取值范围是.故答案为.14.【答案】【解析】设的中点为,由题得,∴,∴.圆心到直线的距离为,所以,∴,故答案为.15.【答案...

1、当您付费下载文档后,您只拥有了使用权限,并不意味着购买了版权,文档只能用于自身使用,不得用于其他商业用途(如 [转卖]进行直接盈利或[编辑后售卖]进行间接盈利)。
2、本站所有内容均由合作方或网友上传,本站不对文档的完整性、权威性及其观点立场正确性做任何保证或承诺!文档内容仅供研究参考,付费前请自行鉴别。
3、如文档内容存在违规,或者侵犯商业秘密、侵犯著作权等,请点击“违规举报”。

碎片内容

高考数学二轮复习 疯狂专练10 直线与圆(文)-人教版高三全册数学试题

您可能关注的文档

海博书城+ 关注
实名认证
内容提供者

从事历史教学,热爱教育,高度负责。

相关文档

确认删除?
VIP
微信客服
  • 扫码咨询
会员Q群
  • 会员专属群点击这里加入QQ群
客服邮箱
回到顶部