电脑桌面
添加小米粒文库到电脑桌面
安装后可以在桌面快捷访问

高考数学二轮复习 疯狂专练16 导数及其应用(理)-人教版高三全册数学试题VIP免费

高考数学二轮复习 疯狂专练16 导数及其应用(理)-人教版高三全册数学试题_第1页
1/8
高考数学二轮复习 疯狂专练16 导数及其应用(理)-人教版高三全册数学试题_第2页
2/8
高考数学二轮复习 疯狂专练16 导数及其应用(理)-人教版高三全册数学试题_第3页
3/8
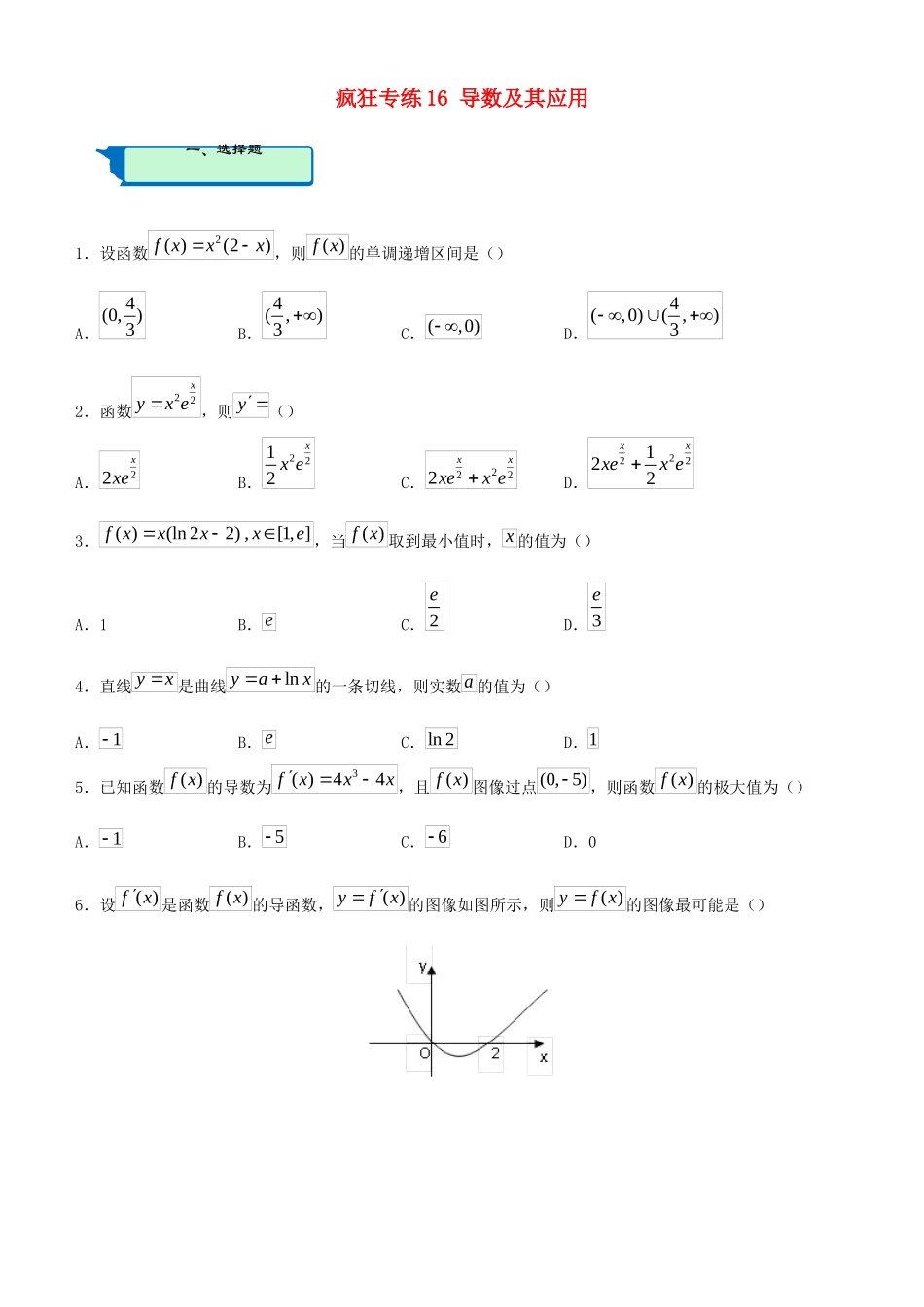
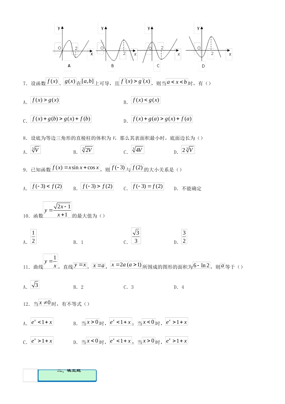
一、选择题疯狂专练16导数及其应用1.设函数,则的单调递增区间是()A.B.C.D.2.函数,则()A.B.C.D.3.,当取到最小值时,的值为()A.1B.C.D.4.直线是曲线的一条切线,则实数的值为()A.B.C.D.5.已知函数的导数为,且图像过点,则函数的极大值为()A.B.C.D.06.设是函数的导函数,的图像如图所示,则的图像最可能是()2()(2)fxxx()fx4(0,)34(,)3(,0)4(,0)(,)322xyxey22xxe2212xxe2222xxxexe222122xxxexe()(ln22),[1,]fxxxxe()fxxe2e3eyxlnyaxa1eln21()fx3()44fxxx()fx(0,5)()fx156()fx)(xf()yfx)(xfy二、填空题7.设函数、在上可导,且,则当时,有()A.B.C.D.8.设底为等边三角形的直棱柱的体积为V,那么其表面积最小时,底面边长为()A.B.C.D.9.已知函数,则与的大小关系是()A.B.C.D.不能确定10.函数的最大值为()A.B.1C.D.11.曲线,直线,,所围成的图形的面积为,则等于()A.B.2C.3D.412.当时,有不等式()A.B.当时,;当时,C.D.当时,;当时,()fx()gx[,]ab()()fxgxaxb()()fxgx()()fxgx()()()()fxgbgxfb()()()()fxgagxfa3V32V34V32V()sincosfxxxx(3)f(2)f(3)(2)ff(3)(2)ff(3)(2)ff211xyx2133231yxyxxa2(1)xaa6ln2a30x1xex0x1xex0x1xex1xex0x1xex0x1xex13.__________.14.如图,函数的图像在点处的切线方程是,且也是可导函数,则__________.15.设有长为,宽为的矩形,其一边在半径为的半圆的直径上,另两个顶点在半圆的圆周上,则此矩形的周长最大时,__________.16.函数,则________,的极大值是________.20(21)dxx3()()1gxxfxxP122yx()fx(2)(2)ffab()abRab2()lnfxx()fxxxy2ln2答案与解析一、选择题1.【答案】A【解析】,则,由,得,则的单调递增区间是.2.【答案】D【解析】.3.【答案】C【解析】,则,由,可得,当时,;当时,,则知取到最小值时,的值为.4.【答案】D【解析】的导数,由,则,切点在直线上,则切点为,它也在曲线上,则.5.【答案】B32()2fxxx24()343()3fxxxxx()0fx403x()fx4(0,)322222221()()22xxxxyxexexexe()ln22fxxxx1()ln222ln212fxxxxx()0fx2ex12ex()0fx2exe()0fx()fxx2elnyax1yx1y1xyx(1,1)lnyax1a【解析】由,反过来则,过点,则,由,得,,当时,;当时,;当时,;当时,,则知为的极大值.6.【答案】C【解析】由图知当时,;时,;时,,则的图像在时递增,在时递减,在时递增.7.【答案】D【解析】记,则可得,那么在上为增函数,则,则,则D正确.8.【答案】C【解析】设底面边长为,高为,则,则,则表面积,化为,则,由,得.9.【答案】A【解析】,当时,,3()44fxxx42()2fxxxc(0,5)42()25fxxx3()440fxxx0x1x1x()0fx01x()0fx10x()0fx1x()0fx(0)5f()fx0x()0fx02x()0fx2x()0fx()fx0x02x2x()()()Fxfxgx()()()0Fxfxgx()Fx[,]ab()()FxFa()()()()fxgxfagaah234Vah243Vha2332Saha24332VSaa2433VSaa0S34aV()sincossincosfxxxxxxxππ2x()0fx二、填空题知在时为减函数,则,而为偶函数,则.10.【答案】C【解析】,知时,;当时,,则当时的值就是的最大值.11.【答案】B【解析】与的交点为,那么所围成的图形的面积,则,得.12.【答案】C【解析】,则,当时,,知为增函数,则,得,有;同理得时,.13.【答案】3【解析】画出在的图像,求面积即可.()fxππ2x(3)(2)ff()fx(3)(2)ff222(1)212221(1)21(1)xxxxyxxx122x0y2x0y2x33y1yxyx(1,1)222213()d(ln)ln222aaaaxSxxxax...

1、当您付费下载文档后,您只拥有了使用权限,并不意味着购买了版权,文档只能用于自身使用,不得用于其他商业用途(如 [转卖]进行直接盈利或[编辑后售卖]进行间接盈利)。
2、本站所有内容均由合作方或网友上传,本站不对文档的完整性、权威性及其观点立场正确性做任何保证或承诺!文档内容仅供研究参考,付费前请自行鉴别。
3、如文档内容存在违规,或者侵犯商业秘密、侵犯著作权等,请点击“违规举报”。

碎片内容

高考数学二轮复习 疯狂专练16 导数及其应用(理)-人教版高三全册数学试题

您可能关注的文档

海博书城+ 关注
实名认证
内容提供者

从事历史教学,热爱教育,高度负责。

相关文档

确认删除?
VIP
微信客服
  • 扫码咨询
会员Q群
  • 会员专属群点击这里加入QQ群
客服邮箱
回到顶部