电脑桌面
添加小米粒文库到电脑桌面
安装后可以在桌面快捷访问

有理数乘法教案VIP免费

有理数乘法教案_第1页
1/2
有理数乘法教案_第2页
2/2
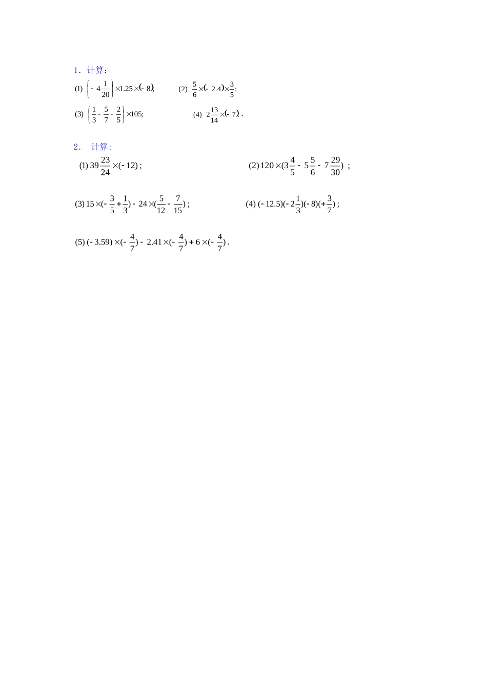
有理数乘法(2)主备人:霍小雪授课时间:9月28号教学目标1.巩固有理数乘法法则。2.探索多个有理数相乘时,积的符号的确定方法.3.探索运用乘法运算律简化运算问题探究(1)完成课本第31页的自学填写课本中所提出的思考归纳题目。(2)完成32页练习。(3)完成32页到33页乘法运算律的自学并把33页提出的思考题目写在书上。(4)完成33页的练习。竞比展示(1)几个数相乘,积的符号由负因数的个数决定"这句话错在哪里?(2)几个不是0的数相乘,积的符号与负因数的个数之间有什么关系?几个不等于零的数相乘,积的符号由负因数的个数决定.当负因数有奇数个时,积为负;当负因数有偶数个时,积为正.(3)你知道乘法的交换律和结合律吗?你会用字母表示它们吗?在有理数范围内,它们仍然成立吗?(4)举出一个使用乘法运算律使运算简便的例子。答疑解惑巩固达标:口答:(1)如果2个数的乘积为负数,其中有——个因数。如果3个数的乘积为负数,其中有———个负因数如果4个数的乘积为负数,其中有——个负因数如果5个数的乘积为负数,其中有——个负因数如果100个数的乘积为负数,其中有——个负因数(2)(3)运用乘法运算律计算下列各题-97×15-103×15-15×43+15×(-21)+15×164125×387×(-9)×8×1/8-100×(3/10-1/2+1/5-0.1)-998/9×7补充:1.计算:;825.12014)1(;534.265)2(;105527531)3(.714132)4(.2.计算:;)30297655543(120)2(;)12(242339)1(;)73)(8)(312)(5.12()4(;)157125(24)3153(15)3(.)74(6)74(41.2)74()59.3()5(

1、当您付费下载文档后,您只拥有了使用权限,并不意味着购买了版权,文档只能用于自身使用,不得用于其他商业用途(如 [转卖]进行直接盈利或[编辑后售卖]进行间接盈利)。
2、本站所有内容均由合作方或网友上传,本站不对文档的完整性、权威性及其观点立场正确性做任何保证或承诺!文档内容仅供研究参考,付费前请自行鉴别。
3、如文档内容存在违规,或者侵犯商业秘密、侵犯著作权等,请点击“违规举报”。

碎片内容

有理数乘法教案

您可能关注的文档

百万精品文库+ 关注
实名认证
内容提供者

学习课件教案小学中学资料大全

相关文档

确认删除?
VIP
微信客服
  • 扫码咨询
会员Q群
  • 会员专属群点击这里加入QQ群
客服邮箱
回到顶部