电脑桌面
添加小米粒文库到电脑桌面
安装后可以在桌面快捷访问

高考数学二轮复习 疯狂专练17 三角函数(文)-人教版高三全册数学试题VIP免费

高考数学二轮复习 疯狂专练17 三角函数(文)-人教版高三全册数学试题_第1页
1/8
高考数学二轮复习 疯狂专练17 三角函数(文)-人教版高三全册数学试题_第2页
2/8
高考数学二轮复习 疯狂专练17 三角函数(文)-人教版高三全册数学试题_第3页
3/8
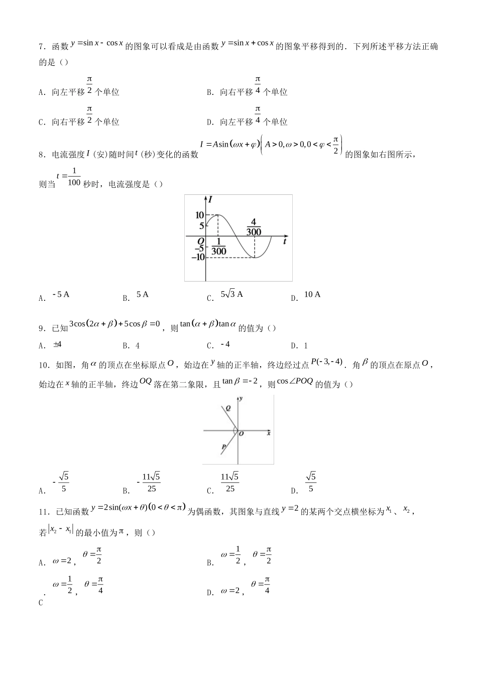
一、选择题疯狂专练17三角函数1.2sin120等于()A.B.C.D.2.sin15cos45sin75sin45的值为()A.12B.12C.32D.323.若函数21sin2fxxxR,则fx是()A.最小正周期为2的奇函数B.最小正周期为的奇函数C.最小正周期为2的偶函数D.最小正周期为的偶函数4.已知函数在区间的图象如图,那么ω等于()A.2B.1C.12D.135.若点sincos,t()anP在第一象限,则在0,2内的取值范围是()A.35,,244B.353,,2442C.5,,424D.3,,2446.sin2sin23yxx的一个单调递增区间是()A.,63B.,36C.,1212D.,12127.函数sincosyxx的图象可以看成是由函数sincosyxx的图象平移得到的.下列所述平移方法正确的是()A.向左平移2个单位B.向右平移4个单位C.向右平移2个单位D.向左平移4个单位8.电流强度I(安)随时间t(秒)变化的函数sin0,0,02IAxA的图象如右图所示,则当1100t秒时,电流强度是()A.5AB.5AC.53AD.10A9.已知3cos25cos0,则tantan的值为()A.4B.4C.4D.110.如图,角的顶点在坐标原点O,始边在y轴的正半轴,终边经过点()3,4P.角的顶点在原点O,始边在x轴的正半轴,终边OQ落在第二象限,且tan2,则cosPOQ的值为()A.55B.11525C.11525D.5511.已知函数)2sin0(yx为偶函数,其图象与直线2y的某两个交点横坐标为1x、2x,若21xx的最小值为,则()A.2,2B.12,2C.12,4D.2,4二、填空题12.如果函数(3cos2)yx的图象关于点4,03中心对称,那么的最小值为()A.6B.4C.3D.213.如果,且α是第四象限的角,那么________.14.3tan1513tan15的值是________.15.若02,且1cos3,1sin3,则cos________.16.给出下列命题:(1)函数不是周期函数;(2)函数在定义域内为增函数;(3)函数的最小正周期为2;(4)函数,的一个对称中心为,06.其中正确命题的序号是________.答案与解析一、选择题1.【答案】B【解析】23sin120sin1202,故选B.2.【答案】B【解析】sin15cos45sin75sin45=sin15cos45cos15sin451sin1545sin302,故选B.3.【答案】D【解析】22111sin2sin1cos2222fxxxx,∴22T,fx为偶函数,故选D.4.【答案】A【解析】由图象知,,∴,,故选A.5.【答案】C【解析】sincos0且tan0,∴,42或5,4,故选C.6.【答案】D【解析】13sin2sin2sin2coscos2sinsin2sin2cos233322yxxxxxxxsin23x,当12x时,min1y;当12x时,max1y,且T.故选D.7.【答案】C【解析】sincos2sin4yxxx,∴sincos2sin2sin424yxxxx,故选C.8.【答案】A【解析】由图象知10A,4112300300100T,∴150T,∴2100T,∴10sinIt. 1,10300为五点中的第二个点,∴11003002.∴6,∴10sin6It,当1100t秒时,5AI,故选A.9.【答案】C【解析】3cos25cos3coscos3sinsin5coscos5sinsin0,∴2sinsin8coscos,∴tantan4.故选C.10.【答案】A【解析】如...

1、当您付费下载文档后,您只拥有了使用权限,并不意味着购买了版权,文档只能用于自身使用,不得用于其他商业用途(如 [转卖]进行直接盈利或[编辑后售卖]进行间接盈利)。
2、本站所有内容均由合作方或网友上传,本站不对文档的完整性、权威性及其观点立场正确性做任何保证或承诺!文档内容仅供研究参考,付费前请自行鉴别。
3、如文档内容存在违规,或者侵犯商业秘密、侵犯著作权等,请点击“违规举报”。

碎片内容

高考数学二轮复习 疯狂专练17 三角函数(文)-人教版高三全册数学试题

您可能关注的文档

慧源书店+ 关注
实名认证
内容提供者

从事历史教学,热爱教育,高度负责。

相关文档

确认删除?
VIP
微信客服
  • 扫码咨询
会员Q群
  • 会员专属群点击这里加入QQ群
客服邮箱
回到顶部