电脑桌面
添加小米粒文库到电脑桌面
安装后可以在桌面快捷访问

广东省普宁二中高三数学实验班精选综合训练(二)VIP免费

广东省普宁二中高三数学实验班精选综合训练(二)_第1页
1/4
广东省普宁二中高三数学实验班精选综合训练(二)_第2页
2/4
广东省普宁二中高三数学实验班精选综合训练(二)_第3页
3/4
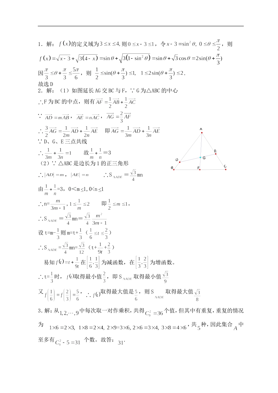
FEGABCD广东省普宁二中高三实验班数学精选综合训练(二)1.函数的值域为()2.如图,已知△ABC是边长为1的正三角形,点D、E分别是边AB、AC上的点,线段DE经过△ABC的中心G,,(0<m1,0

1、当您付费下载文档后,您只拥有了使用权限,并不意味着购买了版权,文档只能用于自身使用,不得用于其他商业用途(如 [转卖]进行直接盈利或[编辑后售卖]进行间接盈利)。
2、本站所有内容均由合作方或网友上传,本站不对文档的完整性、权威性及其观点立场正确性做任何保证或承诺!文档内容仅供研究参考,付费前请自行鉴别。
3、如文档内容存在违规,或者侵犯商业秘密、侵犯著作权等,请点击“违规举报”。

碎片内容

广东省普宁二中高三数学实验班精选综合训练(二)

您可能关注的文档

慧源书店+ 关注
实名认证
内容提供者

从事历史教学,热爱教育,高度负责。

相关文档

确认删除?
微信客服
  • 扫码咨询
会员Q群
  • 会员专属群点击这里加入QQ群