电脑桌面
添加小米粒文库到电脑桌面
安装后可以在桌面快捷访问

高中数学 第五章 三角函数 5.2.1 三角函数的概念课后篇巩固提升(含解析)新人教A版必修1-新人教A版高一必修1数学试题VIP免费

高中数学 第五章 三角函数 5.2.1 三角函数的概念课后篇巩固提升(含解析)新人教A版必修1-新人教A版高一必修1数学试题_第1页
1/5
高中数学 第五章 三角函数 5.2.1 三角函数的概念课后篇巩固提升(含解析)新人教A版必修1-新人教A版高一必修1数学试题_第2页
2/5
高中数学 第五章 三角函数 5.2.1 三角函数的概念课后篇巩固提升(含解析)新人教A版必修1-新人教A版高一必修1数学试题_第3页
3/5
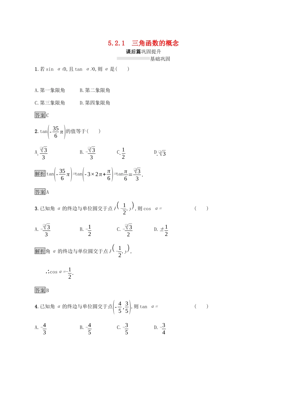
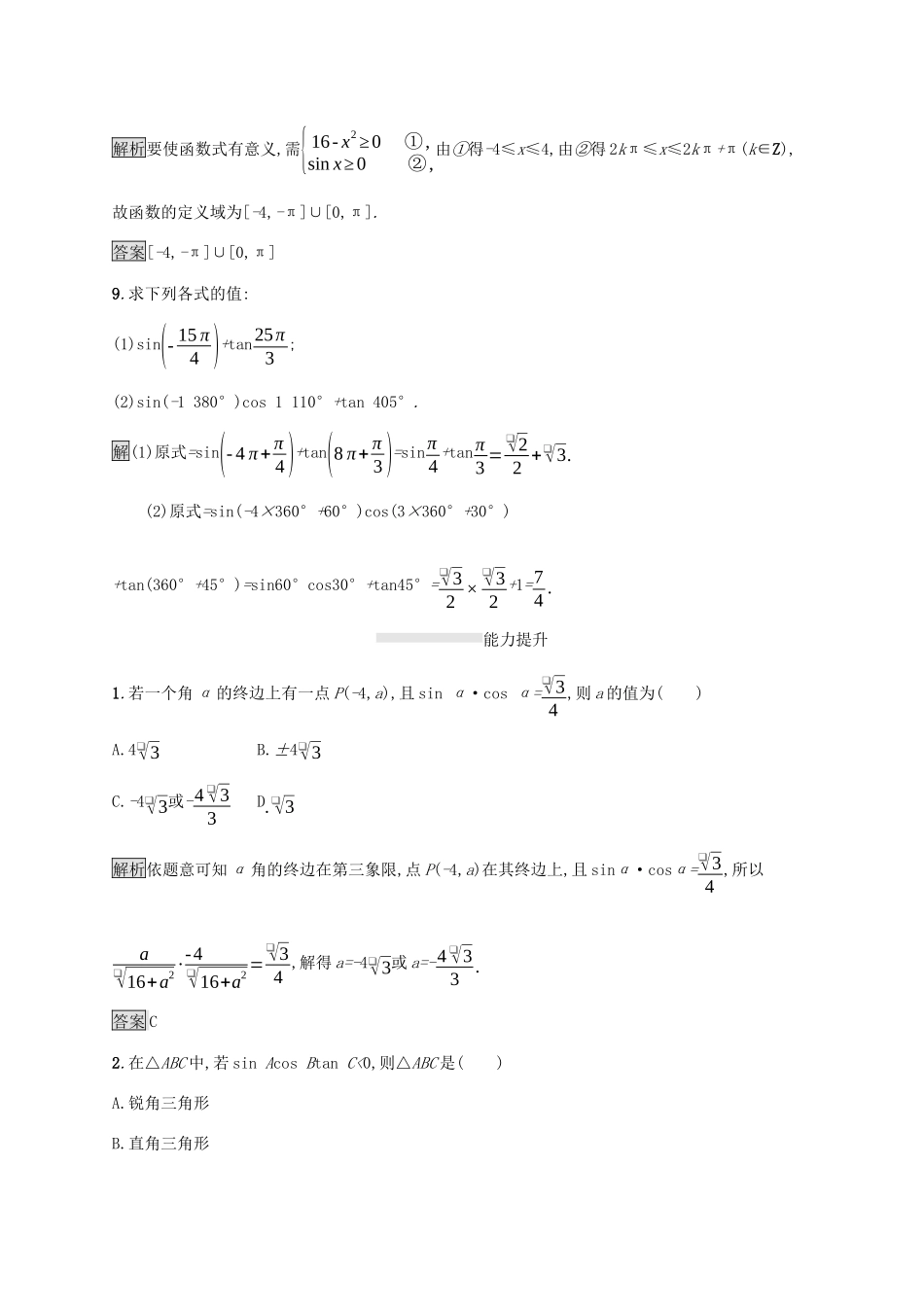
5.2.1三角函数的概念课后篇巩固提升基础巩固1.若sinα<0,且tanα>0,则α是()A.第一象限角B.第二象限角C.第三象限角D.第四象限角答案C2.tan(-356π)的值等于()A.❑√33B.-❑√33C.12D.❑√3解析tan(-356π)=tan(-3×2π+π6)=tanπ6=❑√33.答案A3.已知角α的终边与单位圆交于点P-12,y,则cosα=()A.-❑√33B.-12C.-❑√32D.±12解析角α的终边与单位圆交于点P-12,y,∴cosα=-12.答案B4.已知角α的终边与单位圆交于点(-45,35),则tanα=()A.-43B.-45C.-35D.-34解析根据三角函数的定义,tanα=yx=35-45=-34,故选D.答案D5.(多选题)下列三角函数值的符号判断正确的是()A.sin165°>0B.cos280°>0C.tan170°>0D.tan310°<0解析165°是第二象限角,因此sin165°>0正确;280°是第四象限角,因此cos280°>0正确;170°是第二象限角,因此tan170°<0,故C错误;310°是第四象限角,因此tan310°<0正确.答案ABD6.设角α是第二象限角,且|cosα2|=-cosα2,则角α2是()A.第一象限角B.第二象限角C.第三象限角D.第四象限角解析∵角α是第二象限角,∴α2为第一或第三象限角.又|cosα2|=-cosα2,∴cosα2<0.∴角α2是第三象限角.答案C7.已知角α的终边经过点P(x,-6),且tanα=-35,则x的值为.解析由已知,得tanα=yx=-35,即-6x=-35,解得x=10.答案108.函数y=❑√16-x2+❑√sinx的定义域为.解析要使函数式有意义,需{16-x2≥0①,sinx≥0②,由①得-4≤x≤4,由②得2kπ≤x≤2kπ+π(k∈Z),故函数的定义域为[-4,-π]∪[0,π].答案[-4,-π]∪[0,π]9.求下列各式的值:(1)sin(-15π4)+tan25π3;(2)sin(-1380°)cos1110°+tan405°.解(1)原式=sin(-4π+π4)+tan(8π+π3)=sinπ4+tanπ3=❑√22+❑√3.(2)原式=sin(-4×360°+60°)cos(3×360°+30°)+tan(360°+45°)=sin60°cos30°+tan45°=❑√32×❑√32+1=74.能力提升1.若一个角α的终边上有一点P(-4,a),且sinα·cosα=❑√34,则a的值为()A.4❑√3B.±4❑√3C.-4❑√3或-4❑√33D.❑√3解析依题意可知α角的终边在第三象限,点P(-4,a)在其终边上,且sinα·cosα=❑√34,所以a❑√16+a2·-4❑√16+a2=❑√34,解得a=-4❑√3或a=-4❑√33.答案C2.在△ABC中,若sinAcosBtanC<0,则△ABC是()A.锐角三角形B.直角三角形C.钝角三角形D.锐角三角形或钝角三角形解析因为sinA>0,所以cosB,tanC中一定有一个小于0,即B,C中一定有一个钝角,故△ABC是钝角三角形.答案C3.已知1|sinα|=-1sinα,且lgcosα有意义.(1)试判断角α的终边所在的象限;(2)若角α的终边上一点M(35,m),且|OM|=1(O为坐标原点),求m的值及sinα的值.解(1)由1|sinα|=-1sinα,可知sinα<0.由lgcosα有意义,可知cosα>0,∴角α的终边在第四象限.(2)∵|OM|=1,∴(35)2+m2=1,解得m=±45.又α是第四象限角,故m<0,从而m=-45.由正弦函数的定义可知sinα=yr=m|OM|=-451=-45.4.已知角α的终边在直线y=-3x上,求10sinα+3cosα的值.解设角α的终边上任一点为P(k,-3k)(k≠0),则x=k,y=-3k,r=❑√k2+(-3k)2=❑√10|k|.当k>0时,r=❑√10k,α是第四象限角,sinα=yr=-3k❑√10k=-3❑√1010,1cosα=rx=❑√10kk=❑√10,所以10sinα+3cosα=10×(-3❑√1010)+3❑√10=-3❑√10+3❑√10=0;当k<0时,r=-❑√10k,α为第二象限角,sinα=yr=-3k-❑√10k=3❑√1010,1cosα=rx=-❑√10kk=-❑√10,所以10sinα+3cosα=10×3❑√1010+3×(-❑√10)=3❑√10-3❑√10=0.综上,10sinα+3cosα=0.

1、当您付费下载文档后,您只拥有了使用权限,并不意味着购买了版权,文档只能用于自身使用,不得用于其他商业用途(如 [转卖]进行直接盈利或[编辑后售卖]进行间接盈利)。
2、本站所有内容均由合作方或网友上传,本站不对文档的完整性、权威性及其观点立场正确性做任何保证或承诺!文档内容仅供研究参考,付费前请自行鉴别。
3、如文档内容存在违规,或者侵犯商业秘密、侵犯著作权等,请点击“违规举报”。

碎片内容

高中数学 第五章 三角函数 5.2.1 三角函数的概念课后篇巩固提升(含解析)新人教A版必修1-新人教A版高一必修1数学试题

您可能关注的文档

慧源书店+ 关注
实名认证
内容提供者

从事历史教学,热爱教育,高度负责。

相关文档

确认删除?
VIP
微信客服
  • 扫码咨询
会员Q群
  • 会员专属群点击这里加入QQ群
客服邮箱
回到顶部