电脑桌面
添加小米粒文库到电脑桌面
安装后可以在桌面快捷访问

重庆市开县中学高三数学第一轮复习 三角函数的图象拓展单VIP免费

重庆市开县中学高三数学第一轮复习 三角函数的图象拓展单_第1页
1/2
重庆市开县中学高三数学第一轮复习 三角函数的图象拓展单_第2页
2/2
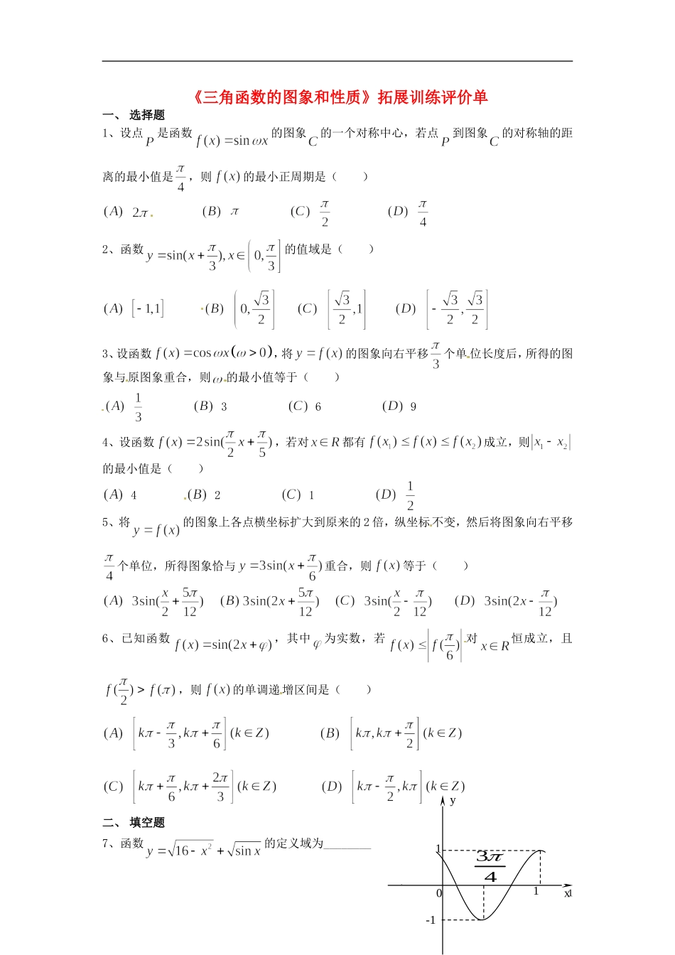
1-1yx3410《三角函数的图象和性质》拓展训练评价单一、选择题1、设点是函数的图象的一个对称中心,若点到图象的对称轴的距离的最小值是,则的最小正周期是()2、函数的值域是()3、设函数,将的图象向右平移个单位长度后,所得的图象与原图象重合,则的最小值等于()3694、设函数,若对都有成立,则的最小值是()4215、将的图象上各点横坐标扩大到原来的2倍,纵坐标不变,然后将图象向右平移个单位,所得图象恰与重合,则等于()6、已知函数,其中为实数,若对恒成立,且,则的单调递增区间是()二、填空题7、函数的定义域为________18、已知函数的图象如图所示,则________9、已知函数在内是减函数,则的取值范围是________10、给出下列命题:(1)在第一象限是增函数;(2)若是锐角,则在的值域是;(3)的周期是;(4)的最小值是。其中正确的命题的序号是________三、解答题11、已知函数的最大值为,其最小正周期为(1)求实数与的值;(2)写出曲线的对称轴方程及其对称中心的坐标。12、设函数(1)求的最小正周期;(2)若函数与的图象关于直线对称,求当时,的最大值。2

1、当您付费下载文档后,您只拥有了使用权限,并不意味着购买了版权,文档只能用于自身使用,不得用于其他商业用途(如 [转卖]进行直接盈利或[编辑后售卖]进行间接盈利)。
2、本站所有内容均由合作方或网友上传,本站不对文档的完整性、权威性及其观点立场正确性做任何保证或承诺!文档内容仅供研究参考,付费前请自行鉴别。
3、如文档内容存在违规,或者侵犯商业秘密、侵犯著作权等,请点击“违规举报”。

碎片内容

重庆市开县中学高三数学第一轮复习 三角函数的图象拓展单

您可能关注的文档

确认删除?
VIP
微信客服
  • 扫码咨询
会员Q群
  • 会员专属群点击这里加入QQ群
客服邮箱
回到顶部