电脑桌面
添加小米粒文库到电脑桌面
安装后可以在桌面快捷访问

高考数学二轮复习 疯狂专练25 模拟训练五(理)-人教版高三全册数学试题VIP免费

高考数学二轮复习 疯狂专练25 模拟训练五(理)-人教版高三全册数学试题_第1页
1/9
高考数学二轮复习 疯狂专练25 模拟训练五(理)-人教版高三全册数学试题_第2页
2/9
高考数学二轮复习 疯狂专练25 模拟训练五(理)-人教版高三全册数学试题_第3页
3/9
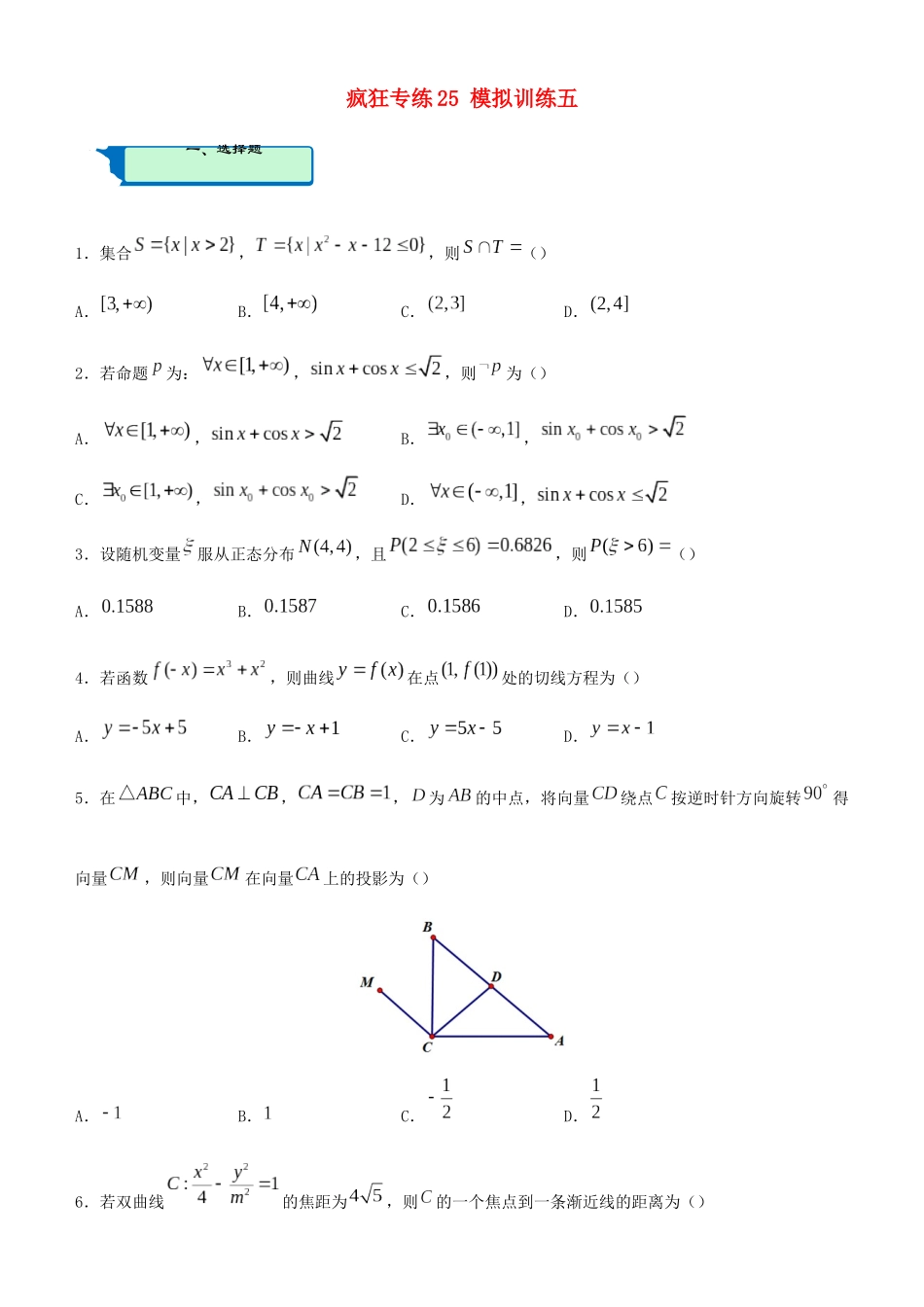
一、选择题疯狂专练25模拟训练五1.集合,,则()A.B.C.D.2.若命题为:,,则为()A.,B.,C.,D.,3.设随机变量服从正态分布,且,则()A.B.C.D.4.若函数,则曲线在点处的切线方程为()A.B.C.D.5.在中,,,为的中点,将向量绕点按逆时针方向旋转得向量,则向量在向量上的投影为()A.B.C.D.6.若双曲线的焦距为,则的一个焦点到一条渐近线的距离为()二、填空题A.B.C.D.7.已知正四棱锥的侧棱与底面的边长都为,则这个四棱锥外接球的表面积为()A.B.C.D.8.若函数是上的减函数,则实数的取值范围是()A.B.C.D.9.已知复数,若,则的概率为()A.B.C.D.10.某校在高二年级开设选修课,选课结束后,有四名同学要求改选物理,现物理选修课开有三个班,若每个班至多可再接收名同学,那么不同的接收方案共有()A.种B.种C.种D.种11.已知,,则的值为()A.B.C.D.12.已知是定义在区间上的函数,且,,则不等式的解集是()A.B.C.D.13.已知点,,为坐标原点,则外接圆的标准方程是.14.数列是等差数列,若,,构成公比为的等比数列,则.15.已知为奇函数,为偶函数,且,则.16.若定义在上的函数,则.答案与解析一、选择题1.【答案】D【解析】由已知得,故.2.【答案】C【解析】,.3.【答案】B【解析】因为服从正态分布,则,所以.4.【答案】B【解析】∵,∴,,∵,,∴曲线在点处的切线方程为.5.【答案】C【解析】如图,以,为,轴建立平面直角坐标系,则,,得,所以向量在向量上的投影为,故选C.6.【答案】B【解析】因为双曲线的焦距为,所以,即,所以其中一个焦点坐标为,其中一条渐近线方程为,所以焦点到渐近线的距离为.7.【答案】C【解析】如图,设正四棱锥底面的中心为,则在直角三角形中,,∴,在直角三角形中,,∴正四棱锥的各个顶点到它的底面的中心的距离都为,∴正四棱锥外接球的球心在它的底面的中心,即球的半径,∴外接球的表面积,故选C.8.【答案】C【解析】要使此分段函数在上为减函数,需满足两个条件:每一段为减函数,临界点处左端图象应在右端图象上方.所以列出不等式有,解此不等式组得.9.【答案】A【解析】,,这表示以为圆心,半径为的圆及其内部,如下图所示,即可知所求概率为.10.【答案】B【解析】分两种情况,(1)其中一个班接收名,其余两个班各接收名,共有;(2)其中一个班不接收,其余两个班各接收名,共有,故不同的接收方案共有种.11.【答案】B【解析】根据题意,,,∵,所以.12.【答案】D二、填空题【解析】∵,所以,设,则,∴是上的增函数,∵,∴,∴,∴,又∵,∴,∴.13.【答案】【解析】由题知,故外接圆的圆心为的中点,半径为,所以外接圆的标准方程为.14.【答案】【解析】等差+等差=等差,依题意三项又构成等比,既是等差又是等比,所以公比为1.特殊值法,,,;代入得,,,∴该数列是的等比数列.15.【答案】【解析】∵为奇函数,为偶函数,且有,∴,即,于是得到,∴.16.【答案】【解析】.

1、当您付费下载文档后,您只拥有了使用权限,并不意味着购买了版权,文档只能用于自身使用,不得用于其他商业用途(如 [转卖]进行直接盈利或[编辑后售卖]进行间接盈利)。
2、本站所有内容均由合作方或网友上传,本站不对文档的完整性、权威性及其观点立场正确性做任何保证或承诺!文档内容仅供研究参考,付费前请自行鉴别。
3、如文档内容存在违规,或者侵犯商业秘密、侵犯著作权等,请点击“违规举报”。

碎片内容

高考数学二轮复习 疯狂专练25 模拟训练五(理)-人教版高三全册数学试题

您可能关注的文档

慧源书店+ 关注
实名认证
内容提供者

从事历史教学,热爱教育,高度负责。

相关文档

确认删除?
VIP
微信客服
  • 扫码咨询
会员Q群
  • 会员专属群点击这里加入QQ群
客服邮箱
回到顶部