电脑桌面
添加小米粒文库到电脑桌面
安装后可以在桌面快捷访问

高三数学复习数列专题(文A)附答案VIP免费

高三数学复习数列专题(文A)附答案_第1页
1/4
高三数学复习数列专题(文A)附答案_第2页
2/4
高三数学复习数列专题(文A)附答案_第3页
3/4
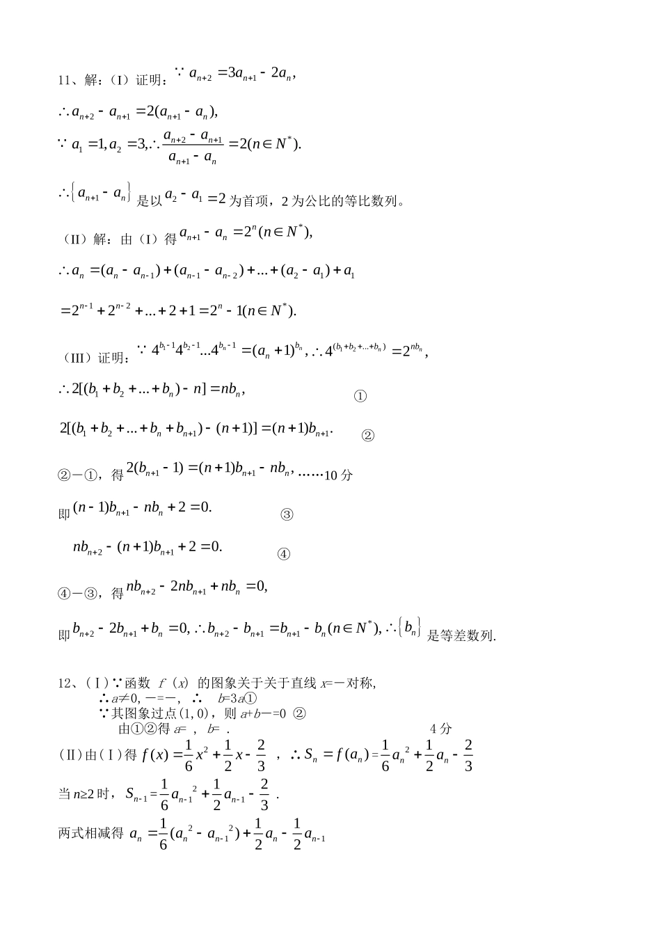
数列专题(文A)1、在等差数列中,已知,那么()A、2B、8C、18D、362、计算机的价格大约每3年下降,那么今年花8100元买的一台计算机,9年后的价格大约是A、2400元B、900元C、300元D、100元3、已知数列的前三项依次是—2,2,6,前n项的和Sn是n的二次函数,则a100等于()A、3900B、392C、394D、3964、对于一个有限数列,的蔡查罗和(蔡查罗为一数学家)定义为,其中,若一个99项的数列的蔡查罗和为1000,那么100项数列的蔡查罗和为()A、991B、992C、993D、9995、若数列{an}满足若,则的值为()A、B、C、D、6、在数列中,,,则该数列中相邻两项的乘积是负数的是()A、B、C、D、7、在等差数列中,若,则该数列的前2009项的和为()A、18081B、24108C、12054D、60278、已知等比数列中,为方程的两根,则a2a5a8的值为()A、32B、64C、128D、2569、若等比数列的前项和为,,则公比。10、数列的首项为,且,记为数列的前项和,则。211、已知数列na满足*12211,3,32().nnnaaaaanN(I)证明:数列1nnaa是等比数列;(II)求数列na的通项公式;(II)若数列nb满足12111*44...4(1)(),nnbbbbnanN证明nb是等差数列。12、已知函数f(x)=ax2+bx-的图象关于直线x=-对称,且过定点(1,0);对于正数列{an},若其前n项和Sn满足Sn=f(an)(nN*)(Ⅰ)求a,b的值;(Ⅱ)求数列{an}的通项公式;(Ⅲ)设bn=(nN*),求数列{bn}的前n项和Tn。答案:1~8:CCCABCCB9、2或10、11、解:(I)证明:2132,nnnaaa211*211212(),1,3,2().nnnnnnnnaaaaaaaanNaa1nnaa是以21aa2为首项,2为公比的等比数列。(II)解:由(I)得*12(),nnnaanN112211()()...()nnnnnaaaaaaaa12*22...2121().nnnnN(III)证明:1211144...4(1),nnbbbbna12(...)42,nnbbbnb122[(...)],nnbbbnnb①12112[(...)(1)](1).nnnbbbbnnb②②-①,得112(1)(1),nnnbnbnb……10分即1(1)20.nnnbnb③21(1)20.nnnbnb④④-③,得2120,nnnnbnbnb即2120,nnnbbb*211(),nnnnbbbbnNnb是等差数列.12、(Ⅰ)∵函数f(x)的图象关于关于直线x=-对称,∴a≠0,-=-,∴b=3a①∵其图象过点(1,0),则a+b-=0②由①②得a=,b=.4分(Ⅱ)由(Ⅰ)得2112()623fxxx,∴()nnSfa=2112623nnaa当n≥2时,1nS=211112623nnaa.两式相减得2211111()622nnnnnaaaaa∴221111()()062nnnnaaaa,∴11()(3)0nnnnaaaa0,na13nnaa,∴{}na是公差为3的等差数列,且22111111112340623asaaaa∴a1=4(a1=-1舍去)∴an=3n+19分(Ⅲ)2nnnab=312nn,24731222nnnT①122314731222nnnT②--①②得23111113123()22222nnnnT1111(1)3142231212nnn133137437222nnnnnnT

1、当您付费下载文档后,您只拥有了使用权限,并不意味着购买了版权,文档只能用于自身使用,不得用于其他商业用途(如 [转卖]进行直接盈利或[编辑后售卖]进行间接盈利)。
2、本站所有内容均由合作方或网友上传,本站不对文档的完整性、权威性及其观点立场正确性做任何保证或承诺!文档内容仅供研究参考,付费前请自行鉴别。
3、如文档内容存在违规,或者侵犯商业秘密、侵犯著作权等,请点击“违规举报”。

碎片内容

高三数学复习数列专题(文A)附答案

您可能关注的文档

精品文库+ 关注
实名认证
内容提供者

超级好的教育资料

相关文档

确认删除?
VIP
微信客服
  • 扫码咨询
会员Q群
  • 会员专属群点击这里加入QQ群
客服邮箱
回到顶部