


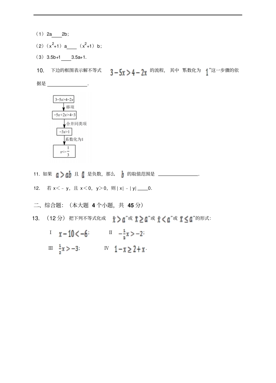
QS,故选D.7.D二、填空题8.>.【解析】解:∵a<b,两边同乘﹣2得:﹣2a>﹣2b,不等式两边同加3得:3﹣2a>3﹣2b,故答案为:>.9.(1)2a>2b;(2)(x2+1)a>(x2+1)b;(3)3.5b+1<3.5a+1.【解答】(1)根据不等式的基本性质2,不等式两边乘同一个正数2,不等号的方向不变,即2a>2b;(2)根据不等式的基本性质1,不等式两边加同一个式子(x2+1),不等号的方向不变,所以(x2+1)a>(x2+1)b;(3)a>b即b>a,不等式两边乘同一个正数3.5,不等号的方向不变,不等式两边加同一个数1,不等号的方向不变,所以3.5b+1<3.5a+1.10.不等式的两边同时乘以或除以一个负数,不等式方向改变;(或不等式的基本性质)11.12.>【解答】∵x<﹣y,且x<0,y>0,∴|x|>|y|,∴不等式的两边同时减去|y|,不等式仍成立,∴|x|﹣|y|>0.故答案是:>三、综合题13、(1)(2)(3)(4)14、【解】由“三角形两边之和大于第三边”可知,ab+c,bc+a,ca+b均是真分数,再利用分数与不等式的性质,得ab+cb+c>a+b.(1)x>-1;(2)x<2;(3)x≥6.16、(1)(2),,,,,,同理得由得,的取值范围是.
1、当您付费下载文档后,您只拥有了使用权限,并不意味着购买了版权,文档只能用于自身使用,不得用于其他商业用途(如 [转卖]进行直接盈利或[编辑后售卖]进行间接盈利)。
2、本站所有内容均由合作方或网友上传,本站不对文档的完整性、权威性及其观点立场正确性做任何保证或承诺!文档内容仅供研究参考,付费前请自行鉴别。
3、如文档内容存在违规,或者侵犯商业秘密、侵犯著作权等,请点击“违规举报”。
碎片内容