电脑桌面
添加小米粒文库到电脑桌面
安装后可以在桌面快捷访问

最新通用版高考文科数学二轮复习解答题通关练1:解三角形含答案VIP免费

最新通用版高考文科数学二轮复习解答题通关练1:解三角形含答案_第1页
1/3
最新通用版高考文科数学二轮复习解答题通关练1:解三角形含答案_第2页
2/3
最新通用版高考文科数学二轮复习解答题通关练1:解三角形含答案_第3页
3/3
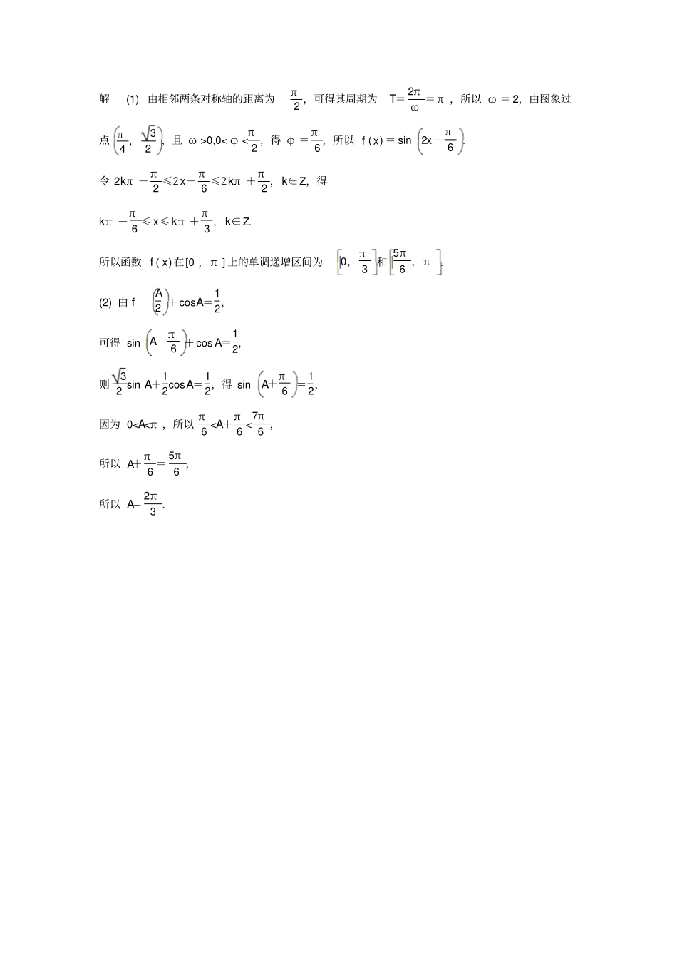
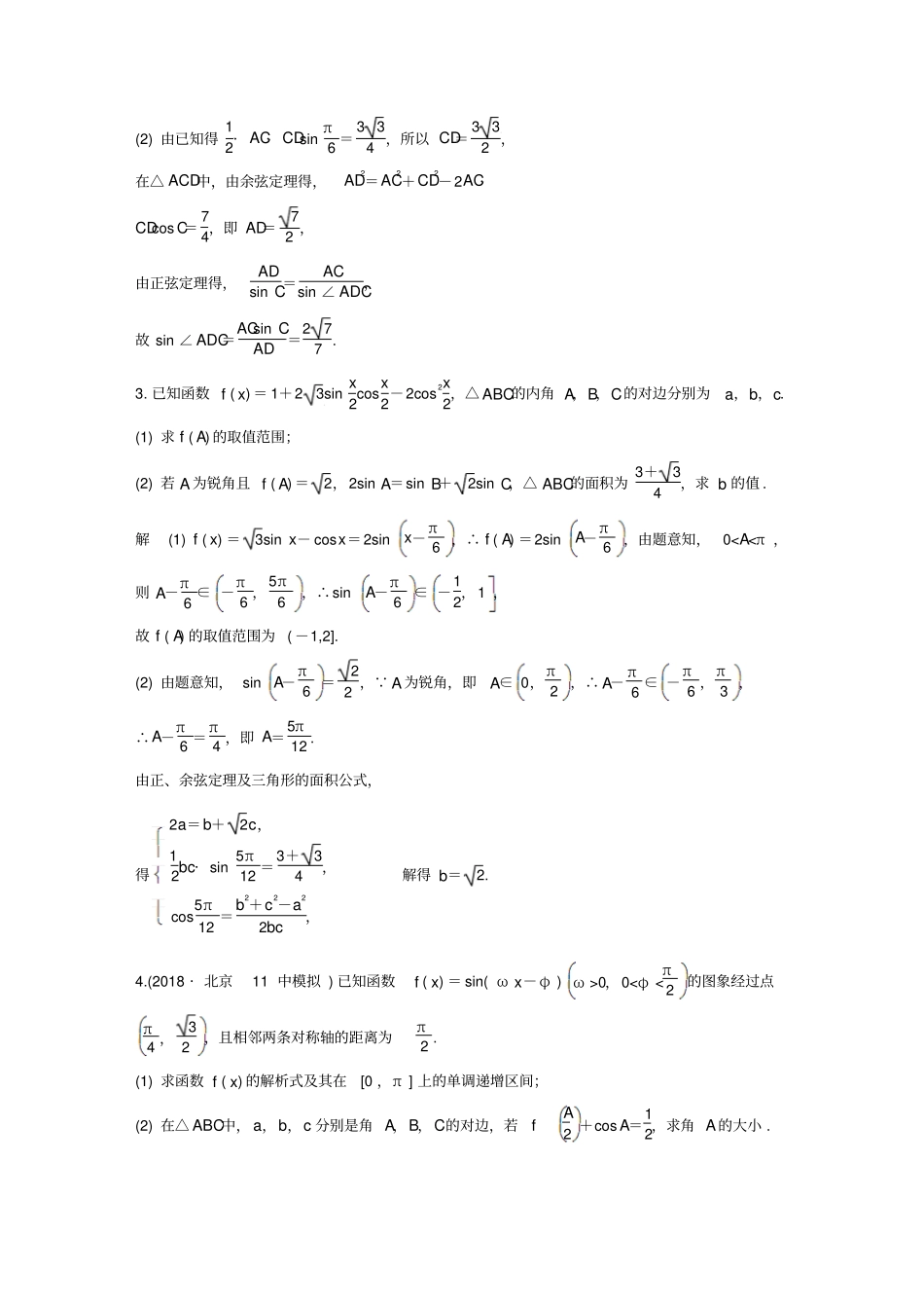
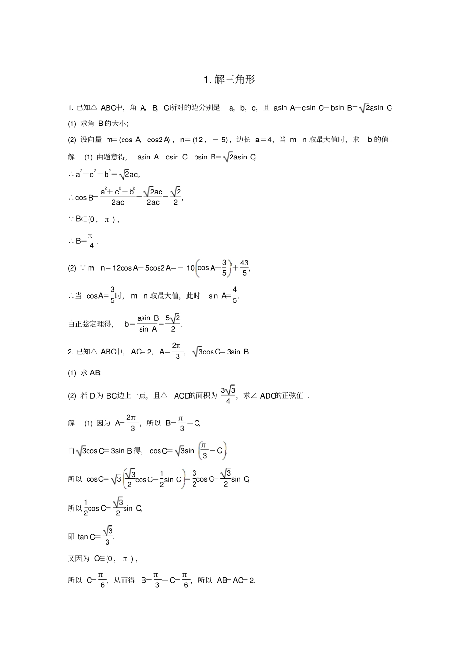
1.解三角形1.已知△ABC中,角A,B,C所对的边分别是a,b,c,且asinA+csinC-bsinB=2asinC.(1)求角B的大小;(2)设向量m=(cosA,cos2A),n=(12,-5),边长a=4,当m·n取最大值时,求b的值.解(1)由题意得,asinA+csinC-bsinB=2asinC,∴a2+c2-b2=2ac,∴cosB=a2+c2-b22ac=2ac2ac=22,∵B∈(0,π),∴B=π4.(2)∵m·n=12cosA-5cos2A=-10cosA-352+435,∴当cosA=35时,m·n取最大值,此时sinA=45.由正弦定理得,b=asinBsinA=522.2.已知△ABC中,AC=2,A=2π3,3cosC=3sinB.(1)求AB;(2)若D为BC边上一点,且△ACD的面积为334,求∠ADC的正弦值.解(1)因为A=2π3,所以B=π3-C,由3cosC=3sinB得,cosC=3sinπ3-C,所以cosC=332cosC-12sinC=32cosC-32sinC,所以12cosC=32sinC,即tanC=33.又因为C∈(0,π),所以C=π6,从而得B=π3-C=π6,所以AB=AC=2.(2)由已知得12·AC·CDsinπ6=334,所以CD=332,在△ACD中,由余弦定理得,AD2=AC2+CD2-2AC·CDcosC=74,即AD=72,由正弦定理得,ADsinC=ACsin∠ADC,故sin∠ADC=ACsinCAD=277.3.已知函数f(x)=1+23sinx2cosx2-2cos2x2,△ABC的内角A,B,C的对边分别为a,b,c.(1)求f(A)的取值范围;(2)若A为锐角且f(A)=2,2sinA=sinB+2sinC,△ABC的面积为3+34,求b的值.解(1)f(x)=3sinx-cosx=2sinx-π6,∴f(A)=2sinA-π6,由题意知,00,0<φ<π2的图象经过点π4,32,且相邻两条对称轴的距离为π2.(1)求函数f(x)的解析式及其在[0,π]上的单调递增区间;(2)在△ABC中,a,b,c分别是角A,B,C的对边,若fA2+cosA=12,求角A的大小.解(1)由相邻两条对称轴的距离为π2,可得其周期为T=2πω=π,所以ω=2,由图象过点π4,32,且ω>0,0<φ<π2,得φ=π6,所以f(x)=sin2x-π6.令2kπ-π2≤2x-π6≤2kπ+π2,k∈Z,得kπ-π6≤x≤kπ+π3,k∈Z.所以函数f(x)在[0,π]上的单调递增区间为0,π3和5π6,π.(2)由fA2+cosA=12,可得sinA-π6+cosA=12,则32sinA+12cosA=12,得sinA+π6=12,因为0

1、当您付费下载文档后,您只拥有了使用权限,并不意味着购买了版权,文档只能用于自身使用,不得用于其他商业用途(如 [转卖]进行直接盈利或[编辑后售卖]进行间接盈利)。
2、本站所有内容均由合作方或网友上传,本站不对文档的完整性、权威性及其观点立场正确性做任何保证或承诺!文档内容仅供研究参考,付费前请自行鉴别。
3、如文档内容存在违规,或者侵犯商业秘密、侵犯著作权等,请点击“违规举报”。

碎片内容

最新通用版高考文科数学二轮复习解答题通关练1:解三角形含答案

确认删除?
微信客服
  • 扫码咨询
会员Q群
  • 会员专属群点击这里加入QQ群