电脑桌面
添加小米粒文库到电脑桌面
安装后可以在桌面快捷访问

直线和圆公式VIP免费

直线和圆公式_第1页
1/5
直线和圆公式_第2页
2/5
直线和圆公式_第3页
3/5
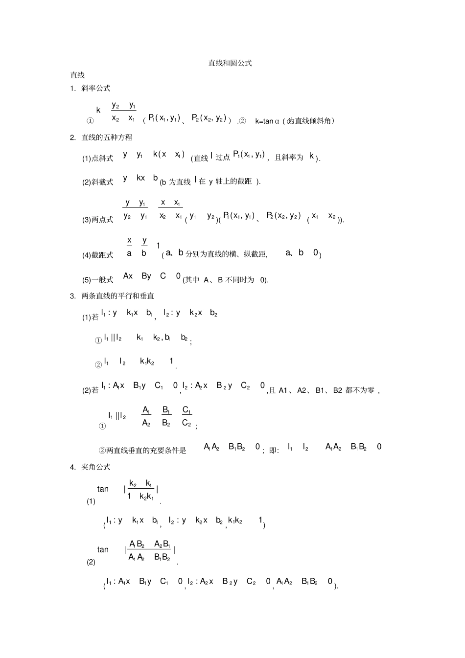
直线和圆公式直线1.斜率公式①2121yykxx(111(,)Pxy、222(,)Pxy).②k=tanα(α为直线倾斜角)2.直线的五种方程(1)点斜式11()yykxx(直线l过点111(,)Pxy,且斜率为k).(2)斜截式ykxb(b为直线l在y轴上的截距).(3)两点式112121yyxxyyxx(12yy)(111(,)Pxy、222(,)Pxy(12xx)).(4)截距式1xyab(ab、分别为直线的横、纵截距,0ab、)(5)一般式0AxByC(其中A、B不同时为0).3.两条直线的平行和垂直(1)若111:lykxb,222:lykxb①121212||,llkkbb;②12121llkk.(2)若1111:0lAxByC,2222:0lAxByC,且A1、A2、B1、B2都不为零,①11112222||ABCllABC;②两直线垂直的充要条件是12120AABB;即:12ll12120AABB4.夹角公式(1)2121tan||1kkkk.(111:lykxb,222:lykxb,121kk)(2)12211212tan||ABABAABB.(1111:0lAxByC,2222:0lAxByC,12120AABB).5.1l到2l的角公式(1)2121tan1kkkk.(111:lykxb,222:lykxb,121kk)(2)12211212tanABABAABB.(1111:0lAxByC,2222:0lAxByC,12120AABB).直线12ll时,直线l1到l2的角是2.6.四种常用直线系方程(1)定点直线系方程:经过定点000(,)Pxy的直线系方程为00()yykxx(除直线0xx),其中k是待定的系数;经过定点000(,)Pxy的直线系方程为00()()0AxxByy,其中,AB是待定的系数.(2)共点直线系方程:经过两直线1111:0lAxByC,2222:0lAxByC的交点的直线系方程为111222()()0AxByCAxByC(除2l),其中λ是待定的系数.(3)平行直线系方程:直线ykxb中当斜率k一定而b变动时,表示平行直线系方程.与直线0AxByC平行的直线系方程是0AxBy(0),λ是参变量.(4)垂直直线系方程:与直线0AxByC(A≠0,B≠0)垂直的直线系方程是0BxAy,λ是参变量.7.点到直线的距离0022||AxByCdAB(点00(,)Pxy,直线l:0AxByC).8.0AxByC或0所表示的平面区域设直线:0lAxByC,若A>0,则在坐标平面内从左至右的区域依次表示0AxByC,0AxByC,若A<0,则在坐标平面内从左至右的区域依次表示0AxByC,0AxByC,可记为“x为正开口对,X为负背靠背“。(正负指X的系数A,开口对指”<>",背靠背指"><")9.111222()()0AxByCAxByC或0所表示的平面区域设曲线111222:()()0CAxByCAxByC(12120AABB),则111222()()0AxByCAxByC或0所表示的平面区域是:111222()()0AxByCAxByC所表示的平面区域上下两部分;111222()()0AxByCAxByC所表示的平面区域上下两部分.圆10.圆的四种方程(1)圆的标准方程222()()xaybr.(2)圆的一般方程220xyDxEyF(224DEF>0).(3)圆的参数方程cossinxarybr.(4)圆的直径式方程1212()()()()0xxxxyyyy(圆的直径的端点是11(,)Axy、22(,)Bxy).11.圆系方程(1)过点11(,)Axy,22(,)Bxy的圆系方程是1212112112()()()()[()()()()]0xxxxyyyyxxyyyyxx1212()()()()()0xxxxyyyyaxbyc,其中0axbyc是直线AB的方程,λ是待定的系数.(2)过直线l:0AxByC与圆C:220xyDxEyF的交点的圆系方程是22()0xyDxEyFAxByC,λ是待定的系数.(3)过圆1C:221110xyDxEyF与圆2C:222220xyDxEyF的交点的圆系方程是2222111222()0xyDxEyFxyDxEyF,λ是待定的系数.12.点与圆的位置关系点00(,)Pxy与圆222)()(rbyax的位置关系有三种若2200()()daxby,则dr点P在圆外;dr点P在圆上;dr点P在圆内.13.直线与圆的位置关系直线0CByAx与圆222)()(rbyax的位置关系有三种:0相离rd;0相切rd;0相交rd.其中22BACBbAad.14.两圆位置关系的判定方法设两圆圆心分别为O1,O2,半径分别为r1,r2,dOO21条公切线外离421rrd;条公切线外切321rrd;条公切线相交22121rrdrr;条公切线内切121rrd;无公切线内含210rrd.15.圆的切线方程(1)已知圆220xyDxEyF.①若已知切点00(,)xy在圆上,则切线只有一条,其方程是0000()()022DxxEyyxxyyF.当00(,)xy圆外时,0000()()022DxxEyyxxyyF表示过两个切点的切点弦方程.②过圆外一点的切线方程可设为00()yykxx,再利用相切条件求k,这时必有两条切线,注意不要漏掉平行于y轴的切线.③斜率为k的切线方程可设为ykxb,再利用相切条件求b,必有两条切线.(2)已知圆222xyr.①过圆上的000(,)Pxy点的切线方程为200xxyyr;②斜率为k的圆的切线方程为21ykxrk.

1、当您付费下载文档后,您只拥有了使用权限,并不意味着购买了版权,文档只能用于自身使用,不得用于其他商业用途(如 [转卖]进行直接盈利或[编辑后售卖]进行间接盈利)。
2、本站所有内容均由合作方或网友上传,本站不对文档的完整性、权威性及其观点立场正确性做任何保证或承诺!文档内容仅供研究参考,付费前请自行鉴别。
3、如文档内容存在违规,或者侵犯商业秘密、侵犯著作权等,请点击“违规举报”。

碎片内容

直线和圆公式

爱的疯狂+ 关注
实名认证
内容提供者

该用户很懒,什么也没介绍

相关文档

相关标签

确认删除?
VIP
微信客服
  • 扫码咨询
会员Q群
  • 会员专属群点击这里加入QQ群
客服邮箱
回到顶部