电脑桌面
添加小米粒文库到电脑桌面
安装后可以在桌面快捷访问

第一章-空间几何体(必修2-综合型训练)VIP免费

第一章-空间几何体(必修2-综合型训练)_第1页
1/3
第一章-空间几何体(必修2-综合型训练)_第2页
2/3
第一章-空间几何体(必修2-综合型训练)_第3页
3/3
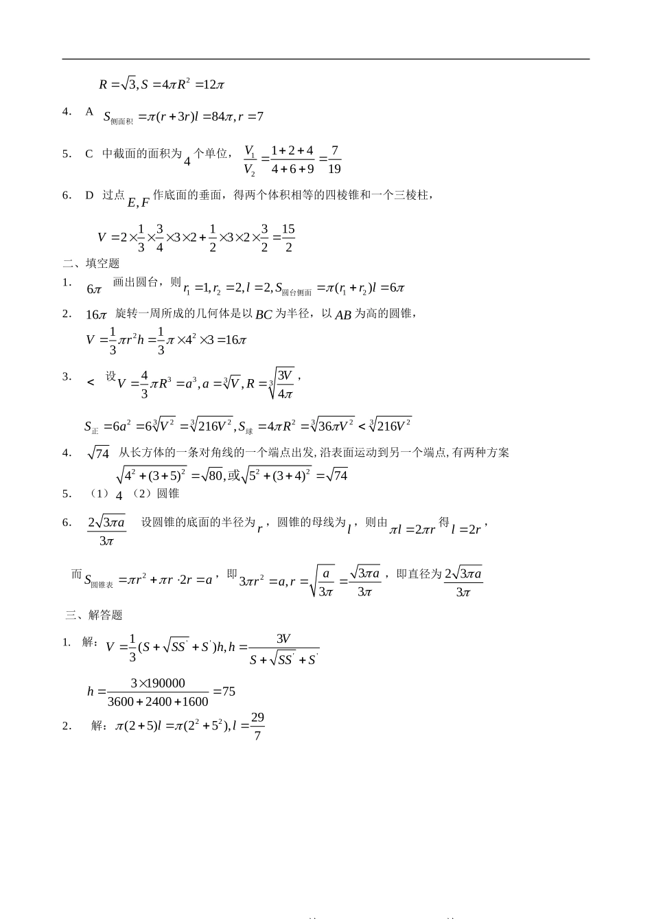
ABDCEF第一章空间几何体综合型训练一、选择题1.如果一个水平放置的图形的斜二测直观图是一个底面为045,腰和上底均为1的等腰梯形,那么原平面图形的面积是()A.22B.221C.222D.212.半径为R的半圆卷成一个圆锥,则它的体积为()A.3324RB.338RC.3524RD.358R3.一个正方体的顶点都在球面上,它的棱长为2cm,则球的表面积是()A.28cmB.212cmC.216cmD.220cm4.圆台的一个底面周长是另一个底面周长的3倍,母线长为3,圆台的侧面积为84,则圆台较小底面的半径为()A.7B.6C.5D.35.棱台上、下底面面积之比为1:9,则棱台的中截面分棱台成两部分的体积之比是()A.1:7B.2:7C.7:19D.5:166.如图,在多面体ABCDEF中,已知平面ABCD是边长为3的正方形,//EFAB,32EF,且EF与平面ABCD的距离为2,则该多面体的体积为()A.92B.5C.6D.152二、填空题1.圆台的较小底面半径为1,母线长为2,一条母线和底面的一条半径有交点且成060,则圆台的侧面积为____________.2.RtABC中,3,4,5ABBCAC,将三角形绕直角边AB旋转一周所成的几何体的体积为____________._3.等体积的球和正方体,它们的表面积的大小关系是S球___S正方体4.若长方体的一个顶点上的三条棱的长分别为3,4,5,从长方体的一条对角线的一个端点出发,沿表面运动到另一个端点,其最短路程是______________.5.图(1)为长方体积木块堆成的几何体的三视图,此几何体共由________块木块堆成;图(2)中的三视图表示的实物为_____________.6.若圆锥的表面积为a平方米,且它的侧面展开图是一个半圆,则这个圆锥的底面的直径为_______________.三、解答题1.有一个正四棱台形状的油槽,可以装油190L,假如它的两底面边长分别等于60cm和40cm,求它的深度为多少cm?2.已知圆台的上下底面半径分别是2,5,且侧面面积等于两底面面积之和,求该圆台的母线长.参考答案一、选择题1.A恢复后的原图形为一直角梯形1(121)2222S2.A233132,,,22324RRrRrhVrhR3.B正方体的顶点都在球面上,则球为正方体的外接球,则232R,_图(1)图(2)23,412RSR4.A(3)84,7Srrlr侧面积5.C中截面的面积为4个单位,12124746919VV6.D过点,EF作底面的垂面,得两个体积相等的四棱锥和一个三棱柱,1313152323234222V二、填空题1.6画出圆台,则12121,2,2,()6rrlSrrl圆台侧面2.16旋转一周所成的几何体是以BC为半径,以AB为高的圆锥,2211431633Vrh3.设333343,,34VVRaaVR,333322222266216,436216SaVVSRVV正球4.74从长方体的一条对角线的一个端点出发,沿表面运动到另一个端点,有两种方案22224(35)80,5(34)74或5.(1)4(2)圆锥6.233a设圆锥的底面的半径为r,圆锥的母线为l,则由2lr得2lr,而22Srrra圆锥表,即233,33aarar,即直径为233a三、解答题1.解:''''13(),3VVSSSShhSSSS319000075360024001600h2.解:2229(25)(25),7ll_教教ww

1、当您付费下载文档后,您只拥有了使用权限,并不意味着购买了版权,文档只能用于自身使用,不得用于其他商业用途(如 [转卖]进行直接盈利或[编辑后售卖]进行间接盈利)。
2、本站所有内容均由合作方或网友上传,本站不对文档的完整性、权威性及其观点立场正确性做任何保证或承诺!文档内容仅供研究参考,付费前请自行鉴别。
3、如文档内容存在违规,或者侵犯商业秘密、侵犯著作权等,请点击“违规举报”。

碎片内容

第一章-空间几何体(必修2-综合型训练)

您可能关注的文档

中小学教育精品资料+ 关注
实名认证
内容提供者

中小学教育资料,优质文档创作者

确认删除?
VIP
微信客服
  • 扫码咨询
会员Q群
  • 会员专属群点击这里加入QQ群
客服邮箱
回到顶部