电脑桌面
添加小米粒文库到电脑桌面
安装后可以在桌面快捷访问

2009年海南高考数学试题(理数)VIP免费

2009年海南高考数学试题(理数)_第1页
1/13
2009年海南高考数学试题(理数)_第2页
2/13
2009年海南高考数学试题(理数)_第3页
3/13
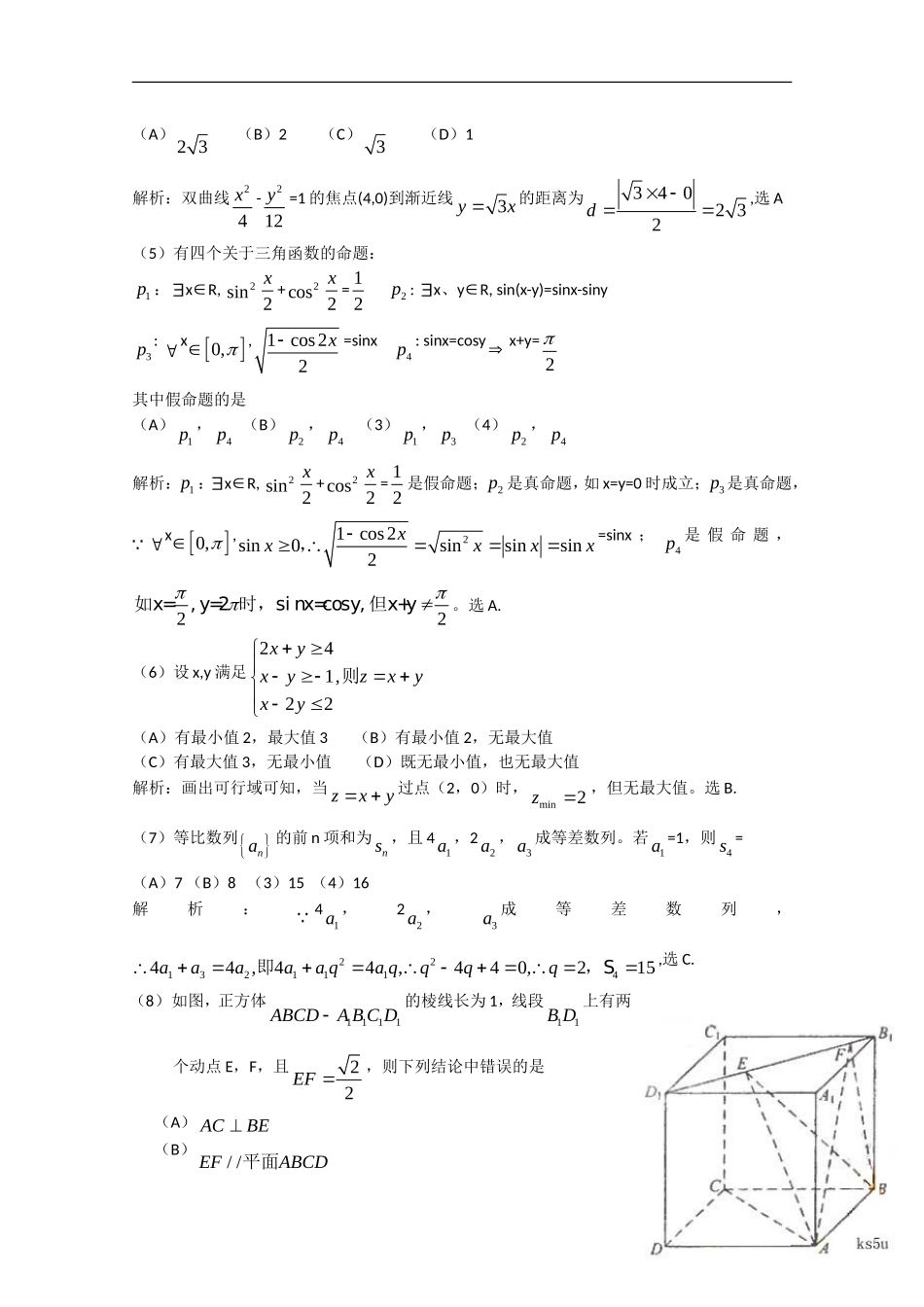
2009年普通高等学校招生全国统一考试(海南卷)第I卷一,选择题:(本大题共12题,每小题5分,在每小题给出的四个选项中,中有一项是符合题目要求的。(1)已知集合1,3,5,7,9,0,3,6,9,12AB,则NACBI(A)1,5,7(B)3,5,7(C)1,3,9(D)1,2,3解析:易有NACB1,5,7,选A(2)复数32322323iiii(A)0(B)2(C)-2i(D)2解析:32322323iiii32233223262131313iiiiii,选D(3)对变量x,y有观测数据理力争(1x,1y)(i=1,2,…,10),得散点图1;对变量u,v有观测数据(1u,1v)(i=1,2,…,10),得散点图2.由这两个散点图可以判断。(A)变量x与y正相关,u与v正相关(B)变量x与y正相关,u与v负相关(C)变量x与y负相关,u与v正相关(D)变量x与y负相关,u与v负相关解析:由这两个散点图可以判断,变量x与y负相关,u与v正相关,选C(4)双曲线24x-212y=1的焦点到渐近线的距离为(A)23(B)2(C)3(D)1解析:双曲线24x-212y=1的焦点(4,0)到渐近线3yx的距离为340232d,选A(5)有四个关于三角函数的命题:1p:xR,2sin2x+2cos2x=122p:x、yR,sin(x-y)=sinx-siny3p:x0,,1cos22x=sinx4p:sinx=cosyx+y=2其中假命题的是(A)1p,4p(B)2p,4p(3)1p,3p(4)2p,4p解析:1p:xR,2sin2x+2cos2x=12是假命题;2p是真命题,如x=y=0时成立;3p是真命题,x0,,21cos2sin0sinsinsin2xxxxx,=sinx;4p是假命题,22如x=,y=2时,sinx=cosy,但x+y。选A.(6)设x,y满足241,22xyxyzxyxy则(A)有最小值2,最大值3(B)有最小值2,无最大值(C)有最大值3,无最小值(D)既无最小值,也无最大值解析:画出可行域可知,当zxy过点(2,0)时,min2z,但无最大值。选B.(7)等比数列na的前n项和为ns,且41a,22a,3a成等差数列。若1a=1,则4s=(A)7(B)8(3)15(4)16解析:41a,22a,3a成等差数列,22132111444,44,440,215aaaaaqaqqqq即,S,选C.(8)如图,正方体1111ABCDABCD的棱线长为1,线段11BD上有两个动点E,F,且22EF,则下列结论中错误的是(A)ACBE(B)//EFABCD平面(C)三棱锥ABEF的体积为定值(D)异面直线,AEBF所成的角为定值解析:A正确,易证11;ACDDBBACBE平面,从而B显然正确,//,//EFBDEFABCD平面易证;C正确,可用等积法求得;D错误。选D.(9)已知O,N,P在ABC所在平面内,且,0OAOBOCNANBNC,且PAPBPBPCPCPA,则点O,N,P依次是ABC的(A)重心外心垂心(B)重心外心内心(C)外心重心垂心(D)外心重心内心(注:三角形的三条高线交于一点,此点为三角型的垂心)解析:,0OAOBOCOABCNANBNCOABC由知为的外心;由知,为的重心;00,,,.PAPBPBPCPAPCPBCAPBCAPBAPBCPC,,同理,为ABC的垂心,选(10)如果执行右边的程序框图,输入2,0.5xh,那么输出的各个数的合等于(A)3(B)3.5(C)4(D)4.5【解析】第1步:y=0,x=-1.5;第2步:y=0,x=-1;第3步:y=0,x=-0.5;第4步:y=0,x=0;第5步:y=0,x=0.5;第6步:y=0.5,x=1;第7步:y=1,x=1.5;第8步:y=1,x=2;第9步:y=1,退出循环,输出各数和为:0.5+1+1+1=3.5,故选.B。(11)一个棱锥的三视图如图,则该棱锥的全面积(单位:c2m)为(A)48+122(B)48+242(C)36+122(D)36+242【解析】棱锥的直观图如右,则有PO=4,OD=3,由勾股定理,得PD=5,AB=62,全面积为:21×6×6+2×21×6×5+21×62×4=48+122,故选.A。(12)用min{a,b,c}表示a,b,c三个数中的最小值设f(x)=min{2x,x+2,10-x}(x0),则f(x)的最大值为(A)4(B)5(C)6(D)7【解析】画出y=2x,y=x+2,y=10-x的图象,如右图,观察图象可知,当0≤x≤2时,f(x)=2x,当2≤x≤3时,f(x)=x+2,当x>4时,f(x)=10-x,f(x)的最大值在x=4时取得为6,故选C。.第II卷二、填空题;本大题共4小...

1、当您付费下载文档后,您只拥有了使用权限,并不意味着购买了版权,文档只能用于自身使用,不得用于其他商业用途(如 [转卖]进行直接盈利或[编辑后售卖]进行间接盈利)。
2、本站所有内容均由合作方或网友上传,本站不对文档的完整性、权威性及其观点立场正确性做任何保证或承诺!文档内容仅供研究参考,付费前请自行鉴别。
3、如文档内容存在违规,或者侵犯商业秘密、侵犯著作权等,请点击“违规举报”。

碎片内容

2009年海南高考数学试题(理数)

您可能关注的文档

确认删除?
VIP
微信客服
  • 扫码咨询
会员Q群
  • 会员专属群点击这里加入QQ群
客服邮箱
回到顶部