电脑桌面
添加小米粒文库到电脑桌面
安装后可以在桌面快捷访问

试验3三线摆报告VIP专享VIP免费

试验3三线摆报告_第1页
1/5
试验3三线摆报告_第2页
2/5
试验3三线摆报告_第3页
3/5
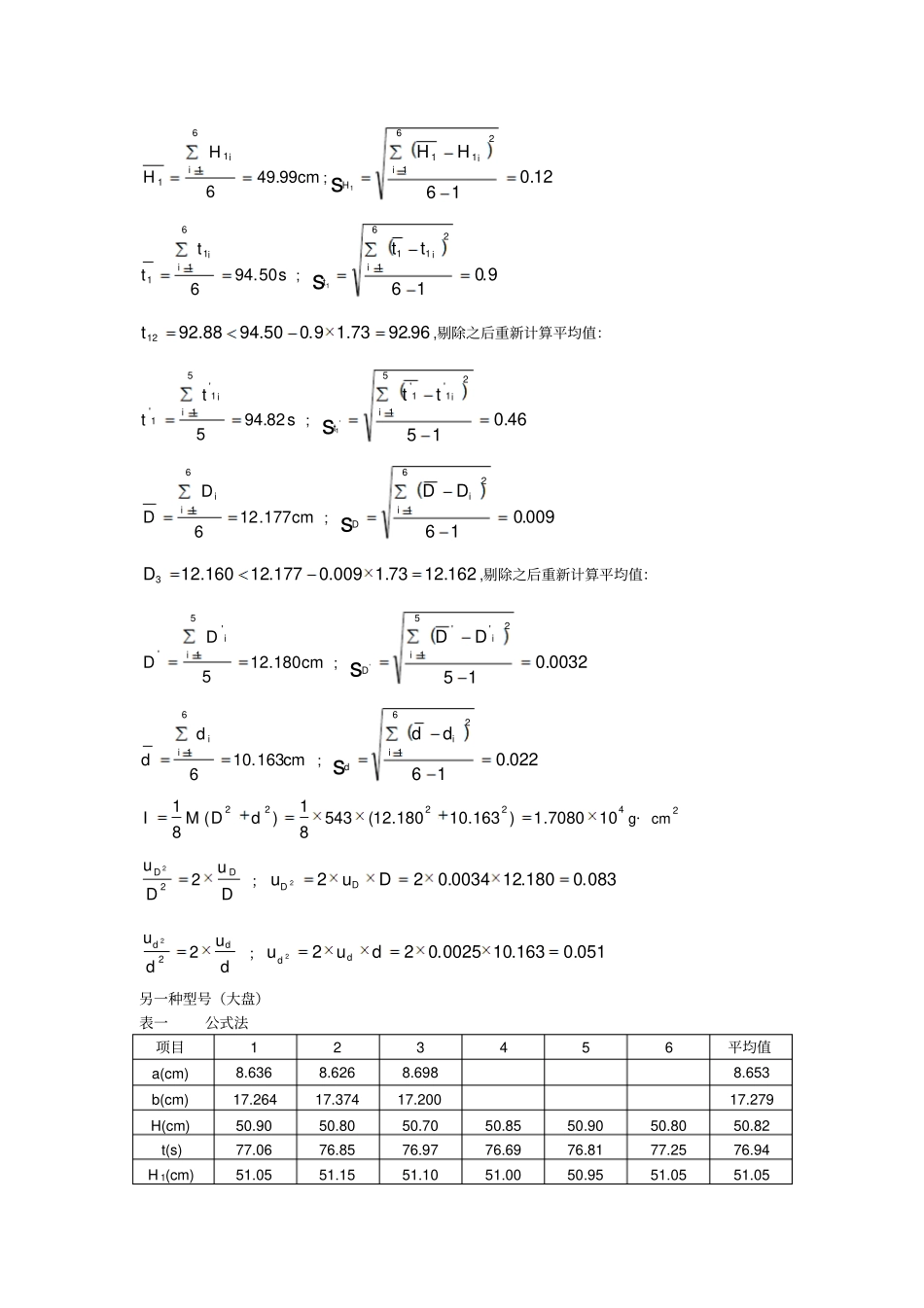
三线摆实验报告林一仙一、实验目的1、掌握水平调节与时间测量方法;2、掌握三线摆测定物体转动惯量的方法;3、掌握利用公式法测这定物体的转动惯量。二、实验仪器三线摆装置电子秒表卡尺米尺水平器三、实验原理1、三线摆法测定物体的转动惯量机械能守恒定律:简谐振动:通过平衡位置的瞬时角速度的大小为:T002;所以有:TImgh021220根据图1可以得到:1212!BCBCBCBCBCBCh从图2可以看到:根据余弦定律可得022211cos2RrrRCA所以有:02222112121cos2RrrRlCABABC整理后可得:HBCBC21;摆角很小时有:2)2sin(00所以:HRrh220整理得:2204THmgRrI;又因3bR,3ar所以:22012THmgabI若其上放置圆环,并且使其转轴与悬盘中心重合,重新测出摆动周期为T1和H1则:待测物的转动惯量为:I=I1-I02、公式法测定物体的转动惯量圆环的转动惯量为:四、实验内容1、三线摆法测定圆环绕中心轴的转动惯量a、用卡尺分别测定三线摆上下盘悬挂点间的距离a、b(三个边各测一次再平均);b、调节三线摆的悬线使悬盘到上盘之间的距离H大约50cm多;c、调节三线摆地脚螺丝使上盘水平后再调节三线摆悬线的长度使悬盘水平;d、用米尺测定悬盘到上盘三线接点的距离H;e、让悬盘静止后轻拨上盘使悬盘作小角度摆动(注意观察其摆幅是否小于10度,摆动是否稳定不摇晃。);f、用电子秒表测定50个摆动周期的摆动的时间t;g、把待测圆环置于悬盘上(圆环中心必须与悬盘中心重合)再测定悬盘到三线与上盘接点间的距离H1,重复步骤e、f。2、公式法测定圆环绕中心轴的转动惯量用卡尺分别测定圆环的内径和外径,根据上表中圆环绕中心轴的转动惯量计算公式确定其转动惯量测定结果。(圆环质量见标称值)五、数据处理表一三线摆法项目123456平均值a(cm)4.2804.3104.2944.295b(cm)11.29611.32411.31411.311H(cm)49.5549.5849.6049.7049.6049.7549.63t(s)85.7286.1986.3185.6086.0486.2786.02H1(cm)50.1049.8050.0049.9050.0550.1049.99t1(s)94.3592.8894.3695.2295.3094.88表二公式法项目123456平均值D(cm)12.18212.17812.16012.18012.17612.184d(cm)10.17810.16010.14210.18610.18010.13410.163m=299g;M=543gcmaaii295.4331;015.013312iiaaascmbbii311.11331;015.013312iibbbscmHHii63.49661;078.016612iiHHHssttii02.86661;3.016612iitttscmHHii99.4966111;12.016612111iiHHHssttii50.9466111;9.016612111iittts96.9273.19.050.9488.9212t,剔除之后重新计算平均值:sttii82.945511'1';46.0155121'1''1iitttscmDDii177.12661;009.016612iiDDDs162.1273.1009.0177.12160.123D,剔除之后重新计算平均值:cmDDii180.12551'';0032.015512'''iiDDDscmddii163.10661;022.016612iiddds42222107080.1)163.10180.12(54381)(81dDMIg·cm2DuDuDD222;083.0180.120034.0222DuuDDdududd222;051.0163.100025.0222duudd另一种型号(大盘)表一公式法项目123456平均值a(cm)8.6368.6268.6988.653b(cm)17.26417.37417.20017.279H(cm)50.9050.8050.7050.8550.9050.8050.82t(s)77.0676.8576.9776.6976.8177.2576.94H1(cm)51.0551.1551.1051.0050.9551.0551.05t1(s)84.5384.6384.8885.2884.7584.3484.34表二公式法项目123456平均值D(cm)19.02219.01819.00419.02818.98819.02619.014d(cm)16.94016.96217.02016.96616.98616.96616.973m=395g;M=400gcmaaii653.8331;039.013312iiaaascmbbii279.17331;088.013312iibbbscmHHii82.50661;076.016612iiHHHssttii94.76661;2.016612iitttscmHHii05.5166111;071.016612111iiHHHssttii74.8466111;33.016612111iitttscmDDii014.19661;016.016612iiDDDscmddii973.16661;028.016612iiddds42222102481.3)973.16014.19(40081)(81dDMIg·cm2DuDuDD222;08.0014.19002.0222DuuDDdududd222;1973.16028.0222duudd六、思考题1、三线摆法主要的误差在时间上,公式法不用测量时间所以会比较准确。2、对三线摆装置上下盘进行水平调节的目的是减少误差。3、摆幅过大可造成不是简谐振动和误差太大。4、对周期的测量方面可改进,另外就是长度测量的误差,从这几个方面去考虑。

1、当您付费下载文档后,您只拥有了使用权限,并不意味着购买了版权,文档只能用于自身使用,不得用于其他商业用途(如 [转卖]进行直接盈利或[编辑后售卖]进行间接盈利)。
2、本站所有内容均由合作方或网友上传,本站不对文档的完整性、权威性及其观点立场正确性做任何保证或承诺!文档内容仅供研究参考,付费前请自行鉴别。
3、如文档内容存在违规,或者侵犯商业秘密、侵犯著作权等,请点击“违规举报”。

碎片内容

试验3三线摆报告

确认删除?
VIP
微信客服
  • 扫码咨询
会员Q群
  • 会员专属群点击这里加入QQ群
客服邮箱
回到顶部