电脑桌面
添加小米粒文库到电脑桌面
安装后可以在桌面快捷访问

高考数学 常见题型解法归纳反馈训练 第82讲 圆锥曲线常用解题技巧-人教版高三全册数学试题VIP免费

高考数学 常见题型解法归纳反馈训练 第82讲 圆锥曲线常用解题技巧-人教版高三全册数学试题_第1页
1/9
高考数学 常见题型解法归纳反馈训练 第82讲 圆锥曲线常用解题技巧-人教版高三全册数学试题_第2页
2/9
高考数学 常见题型解法归纳反馈训练 第82讲 圆锥曲线常用解题技巧-人教版高三全册数学试题_第3页
3/9
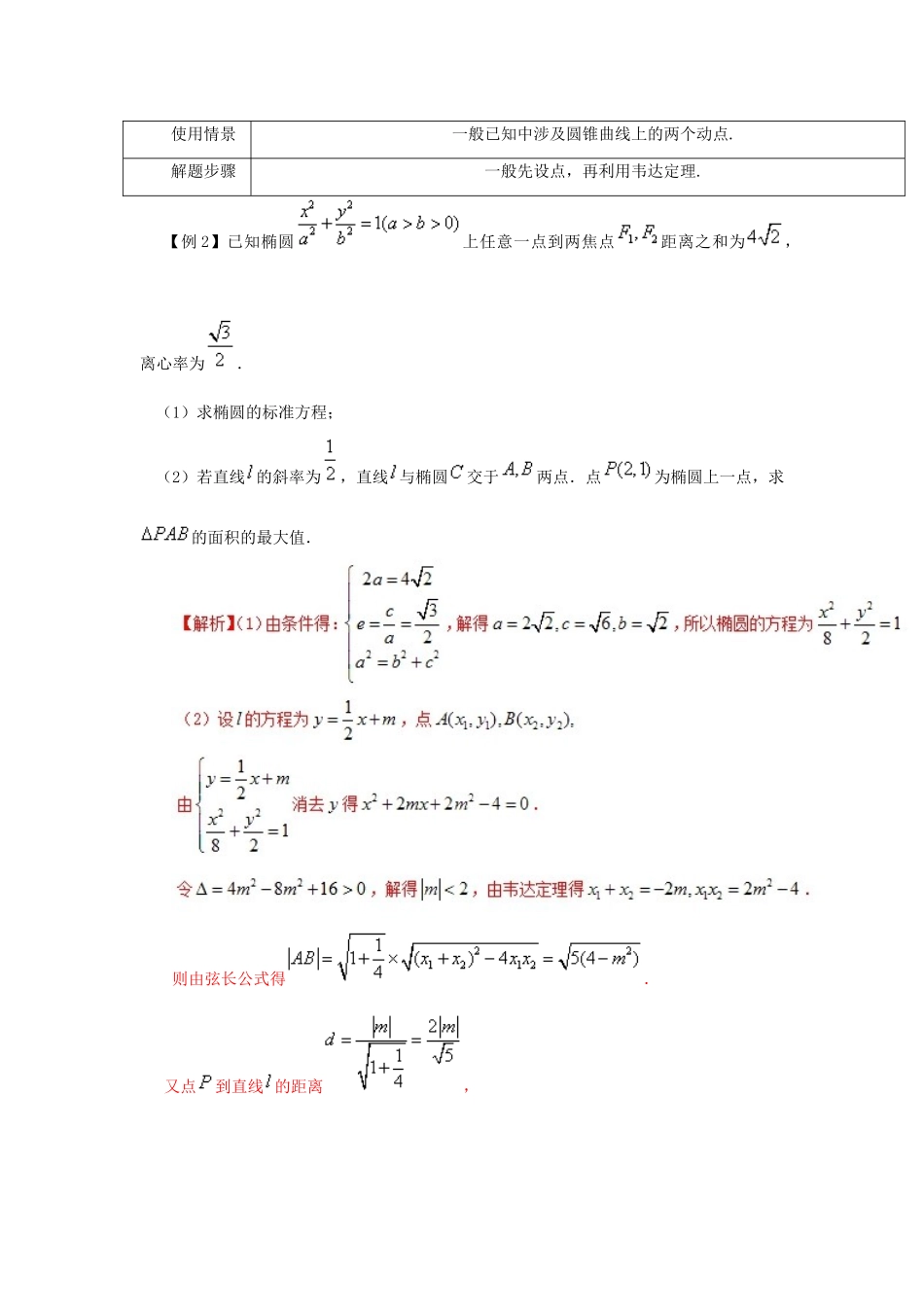
第82讲圆锥曲线常用解题技巧【知识要点】圆锥曲线解题常用技巧有点差法、设而不求法、韦达定理法、定义法等.【方法讲评】方法一点差法使用情景一般已知中涉及直线和圆锥曲线相交产生的弦的中点解题步骤一般先“设点代点”,再作差,最后化简.【例1】双曲线的一条弦的中点是(1,2),此弦所在的直线方程是__________________.【点评】(1)如果已知中涉及圆锥曲线的弦的中点,一般利用点差法,可以减少运算,提高解题效率.(2)使用点差法,一般先“设点代点”,再作差,最后化简,最后可以得到中点的坐标和直线的斜率的关系.【反馈检测1】椭圆中有如下结论:椭圆上斜率为1的弦的中点在直线上,类比上述结论:双曲线上斜率为1的弦的中点在直线上.方法二设而不求法使用情景一般已知中涉及圆锥曲线上的两个动点.解题步骤一般先设点,再利用韦达定理.【例2】已知椭圆上任意一点到两焦点距离之和为,离心率为.(1)求椭圆的标准方程;(2)若直线的斜率为,直线与椭圆交于两点.点为椭圆上一点,求的面积的最大值.则由弦长公式得.又点到直线的距离,∴,当且仅当,即时取得最大值.∴面积的最大值为2.【点评】本题就利用了“设而不求”的方法,先设再利用韦达定理,并不要求把这两个点的坐标解答出来,实际上也是解答不出来的.【反馈检测2】在平面直角坐标系中,已知点,点在直线:上运动,过点与垂直的直线和线段的垂直平分线相交于点.(1)求动点的轨迹的方程;(2)过(1)中轨迹上的点(1,2)作两条直线分别与轨迹相交于,两点.试探究:当直线的斜率存在且倾斜角互补时,直线的斜率是否为定值?若是,求出这个定值;若不是,说明理由.方法三韦达定理法使用情景一般已知中涉及圆锥曲线上的两个动点.解题步骤一般先设点,再写出韦达定理,再代韦达定理.【例3】已知点在双曲线上,且双曲线的一条渐近线的方程是.(1)求双曲线的方程;(2)若过点且斜率为的直线与双曲线有两个不同交点,求实数的取值范围;(3)设(2)中直线与双曲线交于两个不同点,若以线段为直径的圆经过坐标原点,求实数的值.∴解得.【点评】本题涉及“直线与双曲线交于两个不同点”,所以一般用到韦达定理,把韦达定理代到里化简即可.【反馈检测3】已知椭圆的中心在原点,焦点在轴上,长轴长是短轴长的倍,其上一点到右焦点的最短距离为(1)求椭圆的标准方程;(2)若直线交椭圆于两点,当时求直线的方程.方法四定义法使用情景一般已知中涉及圆锥曲线的定义中的焦半径、准线等.解题步骤一般要联想到圆锥曲线的定义,利用定义解答.【例4】已知双曲线的离心率为,左、右焦点为,点在上,若,则=__________.【点评】由于已知中涉及了双曲线的焦半径,所以要联想到双曲线的定义解答.【反馈检测4】如图所示,直线y=x-2与圆及抛物线依次交于A,B,C,D四点,则=()A.13B.14C.15D.16高中数学常见题型解法归纳及反馈检测第82讲:圆锥曲线常用解题技巧参考答案【反馈检测1答案】不妨设弦的两个端点为,,则,中点设为,则,,将上述两端点代入双曲线方程得,两式相减得,而,∴,化简得,而,,于是在直线上.【反馈检测2答案】(1);(2)是定值,为-1,过程见解析.【反馈检测2详细解析】(1)依题意,得∴动点的轨迹是以为焦点,直线为准线的抛物线,∴动点的轨迹的方程为.【反馈检测3答案】(1),(2)【反馈检测3详细解析】(1)由题可知:所以椭圆方程为(2)由设,则所以直线的方程为:【反馈检测4答案】,故选.

1、当您付费下载文档后,您只拥有了使用权限,并不意味着购买了版权,文档只能用于自身使用,不得用于其他商业用途(如 [转卖]进行直接盈利或[编辑后售卖]进行间接盈利)。
2、本站所有内容均由合作方或网友上传,本站不对文档的完整性、权威性及其观点立场正确性做任何保证或承诺!文档内容仅供研究参考,付费前请自行鉴别。
3、如文档内容存在违规,或者侵犯商业秘密、侵犯著作权等,请点击“违规举报”。

碎片内容

高考数学 常见题型解法归纳反馈训练 第82讲 圆锥曲线常用解题技巧-人教版高三全册数学试题

远洋启航书店+ 关注
实名认证
内容提供者

从事历史教学,热爱教育,高度负责。

相关文档

确认删除?
VIP
微信客服
  • 扫码咨询
会员Q群
  • 会员专属群点击这里加入QQ群
客服邮箱
回到顶部