电脑桌面
添加小米粒文库到电脑桌面
安装后可以在桌面快捷访问

高中数学 第二章 圆锥曲线与方程 2.3.2 抛物线的几何性质课后训练 新人教B版选修1-1-新人教B版高二选修1-1数学试题VIP免费

高中数学 第二章 圆锥曲线与方程 2.3.2 抛物线的几何性质课后训练 新人教B版选修1-1-新人教B版高二选修1-1数学试题_第1页
1/3
高中数学 第二章 圆锥曲线与方程 2.3.2 抛物线的几何性质课后训练 新人教B版选修1-1-新人教B版高二选修1-1数学试题_第2页
2/3
高中数学 第二章 圆锥曲线与方程 2.3.2 抛物线的几何性质课后训练 新人教B版选修1-1-新人教B版高二选修1-1数学试题_第3页
3/3
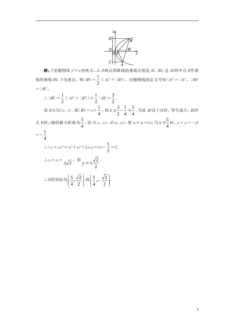
2.3.2抛物线的几何性质课后训练1.已知抛物线的焦点坐标是(2,0),则抛物线的标准方程为()A.x2=8yB.x2=-8yC.y2=8xD.y2=-8x2.抛物线y2=-4mx(m>0)的焦点为F,准线为l,则m表示()A.F到l的距离B.F到y轴的距离C.F点的横坐标D.F到l的距离的143.抛物线y2=4x的焦点为F,点P在抛物线上,若|PF|=4,则P点坐标为()A.(3,23)B.(3,23)C.(3,23)或(3,23)D.(-3,23)4.抛物线y2=2px与直线ax+y-4=0的一个交点坐标为(1,2),则抛物线的焦点到该直线的距离是()A.332B.255C.7510D.1725.已知抛物线y2=2px(p>0)的准线与圆(x-3)2+y2=16相切,则p的值为()A.12B.1C.2D.46.抛物线ax2=y的焦点坐标是______.7.一动圆的圆心在抛物线y2=8x上,且动圆恒与直线x+2=0相切,则动圆必过定点______.8.已知抛物线C:y2=2px(p>0)的准线为l,过M(1,0)且斜率为3的直线与l相交于点A,与C的一个交点为B,若AMMB�,则p=________.9.已知直线l与抛物线相交于A,B两点,线段AB中点的纵坐标为2,求直线l的斜率.10.定长为3的线段AB的端点A,B在抛物线y2=x上移动,求AB的中点M到y轴的距离的最小值,并求出此时AB的中点M的坐标.1参考答案1.答案:C2.答案:B3.答案:C4.答案:B点(1,2)在抛物线y2=2px和直线ax+y-4=0上,所以p=2,a=2,抛物线的焦点为(1,0).焦点到直线2x+y-4=0的距离为2|214|2255521.5.答案:C抛物线y2=2px的准线方程为2px,圆(x-3)2+y2=16的圆心为(3,0),半径为4.故有342p,所以p=2.6.答案:104a,7.答案:(2,0)直线x+2=0即x=-2是抛物线y2=8x的准线,由题意知动圆的半径等于圆心到抛物线y2=8x的准线的距离,即动圆的半径等于圆心到抛物线y2=8x的焦点的距离.故动圆必过抛物线的焦点(2,0).8.答案:2过点B,M分别作准线的垂线,垂足分别为点B1,M1,由|AM|=|MB|得|BB1|=2|MM1|=|AM|=|BM|,所以点M恰为抛物线的焦点,即12p,p=2.9.答案:分析:利用“设而不求”和“点差法”解决.解:由题意,直线斜率显然存在.设A,B两点坐标分别为(x1,y1),(x2,y2),则y2+y1=4.将A,B的坐标代入方程y2=4x得y12=4x1,①y22=4x2,②②-①得:y22-y12=4(x2-x1),即(y2-y1)(y2+y1)=4(x2-x1).所以212144yyxx.故直线l的斜率为21211yyxx.10.答案:分析:如图,线段AB的中点M到y轴距离的最小值,就是横坐标的最小值,这是中点坐标的问题,因此只要研究A,B两点的横坐标之和最小即可.2解:F是抛物线y2=x的焦点,A,B两点到准线的垂线分别是AC,BD,过AB的中点M作准线的垂线MN,N为垂足,则|MN|=12(|AC|+|BD|),由抛物线的定义可知|AF|=|AC|,|BD|=|BF|,∴|MN|=12(|AF|+|BF|)≥12|AB|=32.设M点为(x,y),则|MN|=x+14,则315244x.当弦AB过F点时,等号成立,此时点M到y轴的最小距离为54,设A(x1,y1),B(x2,y2),则x1+x2=2x,当54x时,y1·y2=-p2=14.∴(y1+y2)2=y12+y22+2y1y2=2x-12=2.∴y1+y2=2,即22y.∴M的坐标为5242,或5242,.3

1、当您付费下载文档后,您只拥有了使用权限,并不意味着购买了版权,文档只能用于自身使用,不得用于其他商业用途(如 [转卖]进行直接盈利或[编辑后售卖]进行间接盈利)。
2、本站所有内容均由合作方或网友上传,本站不对文档的完整性、权威性及其观点立场正确性做任何保证或承诺!文档内容仅供研究参考,付费前请自行鉴别。
3、如文档内容存在违规,或者侵犯商业秘密、侵犯著作权等,请点击“违规举报”。

碎片内容

高中数学 第二章 圆锥曲线与方程 2.3.2 抛物线的几何性质课后训练 新人教B版选修1-1-新人教B版高二选修1-1数学试题

确认删除?
VIP
微信客服
  • 扫码咨询
会员Q群
  • 会员专属群点击这里加入QQ群
客服邮箱
回到顶部