电脑桌面
添加小米粒文库到电脑桌面
安装后可以在桌面快捷访问

江苏省高三数学复习每天30分钟限时训练79 苏教版VIP免费

江苏省高三数学复习每天30分钟限时训练79 苏教版_第1页
1/2
江苏省高三数学复习每天30分钟限时训练79 苏教版_第2页
2/2
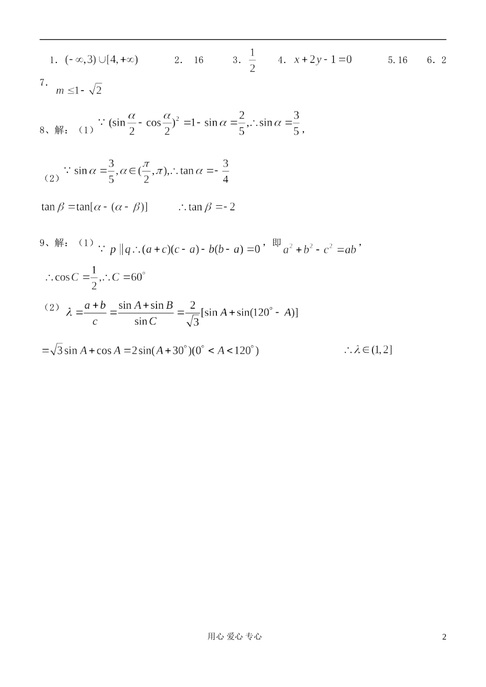
高三数学复习限时训练(79)1、设p:,q:,若“p且q”为假命题,则实数的范围为2、等差数列是等比数列,且=。3、函数(其中),若函数图像的一条对称轴为,那么________4、若与直线:关于点对称,则直线的方程为。5、在平面直角坐标系的左、右焦点分别为F1、F2,P为椭圆C上的一点,且PF1⊥PF2,则△PF1F2的面积为。6、函数的最小值为7、若实数满足时,不等式恒成立,则实数m的取值范围是8、已知,(1)求的值;(2)求的值。9、设三角形ABC的三内角A,B,C所对边的长分别为,设向量,且平行,(1)求角C的大小;(2)记,求的取值范围。限时训练(79)参考答案用心爱心专心11.2.163.4.5.166.27.8、解:(1),(2)9、解:(1),即,(2)用心爱心专心2

1、当您付费下载文档后,您只拥有了使用权限,并不意味着购买了版权,文档只能用于自身使用,不得用于其他商业用途(如 [转卖]进行直接盈利或[编辑后售卖]进行间接盈利)。
2、本站所有内容均由合作方或网友上传,本站不对文档的完整性、权威性及其观点立场正确性做任何保证或承诺!文档内容仅供研究参考,付费前请自行鉴别。
3、如文档内容存在违规,或者侵犯商业秘密、侵犯著作权等,请点击“违规举报”。

碎片内容

江苏省高三数学复习每天30分钟限时训练79 苏教版

海博书城+ 关注
实名认证
内容提供者

从事历史教学,热爱教育,高度负责。

相关文档

确认删除?
VIP
微信客服
  • 扫码咨询
会员Q群
  • 会员专属群点击这里加入QQ群
客服邮箱
回到顶部