电脑桌面
添加小米粒文库到电脑桌面
安装后可以在桌面快捷访问

高中数学 第四章 数列 4.1 第2课时 数列的递推公式课后提升训练(含解析)新人教A版选择性必修第二册-新人教A版高二第二册数学试题VIP免费

高中数学 第四章 数列 4.1 第2课时 数列的递推公式课后提升训练(含解析)新人教A版选择性必修第二册-新人教A版高二第二册数学试题_第1页
1/5
高中数学 第四章 数列 4.1 第2课时 数列的递推公式课后提升训练(含解析)新人教A版选择性必修第二册-新人教A版高二第二册数学试题_第2页
2/5
高中数学 第四章 数列 4.1 第2课时 数列的递推公式课后提升训练(含解析)新人教A版选择性必修第二册-新人教A版高二第二册数学试题_第3页
3/5
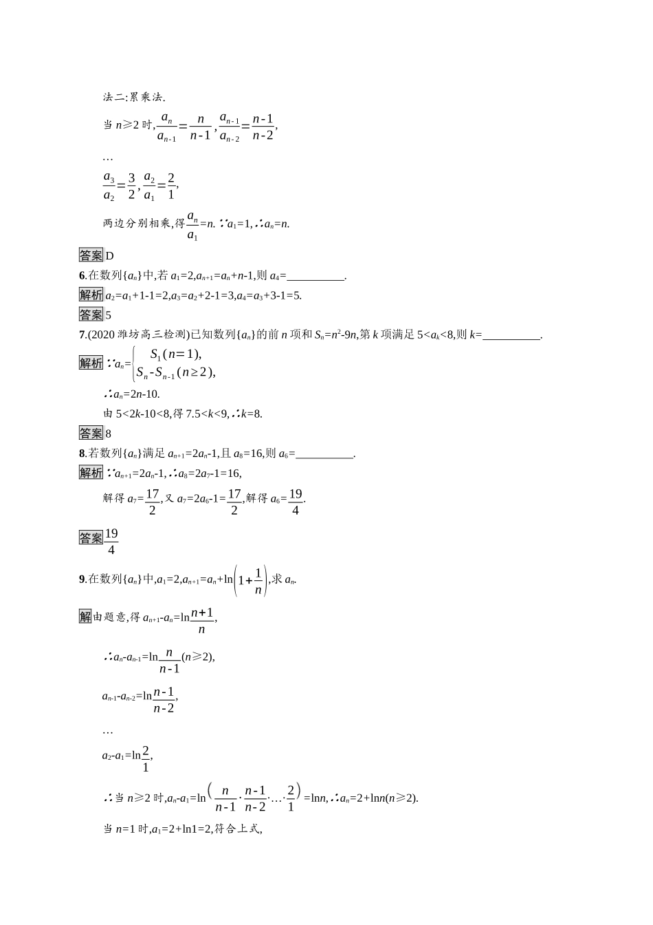
第四章数列4.1数列的概念第2课时数列的递推公式课后篇巩固提升基础达标练1.数列12,14,18,116,…的递推公式可以是()A.an=12n+1(n∈N*)B.an=12n(n∈N*)C.an+1=12an(n∈N*)D.an+1=2an(n∈N*)解析数列从第2项起,后一项是前一项的12,故递推公式为an+1=12an(n∈N*).答案C2.(多选)符合递推关系式an=√2an-1的数列是()A.1,2,3,4,…B.1,√2,2,2√2,…C.√2,2,2√2,4,…D.0,√2,2,2√2,…解析B与C中从第2项起,后一项是前一项的√2倍,符合递推公式an=√2an-1.答案BC3.在数列{an}中,an+1=an+2-an,a1=2,a2=5,则a5=()A.-3B.-11C.-5D.19解析由an+1=an+2-an,得an+2=an+an+1,则a3=a1+a2=7,a4=a2+a3=12,a5=a3+a4=19.答案D4.已知数列{an}的前n项和为Sn,且Sn=2an-2,则a2=()A.4B.2C.1D.-2解析Sn=2an-2⇒a1=S1=2a1-2⇒a1=2⇒a1+a2=S2=2a2-2⇒a2=4.故选A.答案A5.已知a1=1,an=n(an+1-an)(n∈N*),则数列{an}的通项公式是()A.2n-1B.(n+1n)n-1C.n2D.n解析法一:构造法.由已知整理,得(n+1)an=nan+1,∴an+1n+1=ann,∴数列{ann}是常数列,且ann=a11=1,∴an=n.法二:累乘法.当n≥2时,anan-1=nn-1,an-1an-2=n-1n-2,…a3a2=32,a2a1=21,两边分别相乘,得ana1=n.∵a1=1,∴an=n.答案D6.在数列{an}中,若a1=2,an+1=an+n-1,则a4=.解析a2=a1+1-1=2,a3=a2+2-1=3,a4=a3+3-1=5.答案57.(2020潍坊高三检测)已知数列{an}的前n项和Sn=n2-9n,第k项满足5

1、当您付费下载文档后,您只拥有了使用权限,并不意味着购买了版权,文档只能用于自身使用,不得用于其他商业用途(如 [转卖]进行直接盈利或[编辑后售卖]进行间接盈利)。
2、本站所有内容均由合作方或网友上传,本站不对文档的完整性、权威性及其观点立场正确性做任何保证或承诺!文档内容仅供研究参考,付费前请自行鉴别。
3、如文档内容存在违规,或者侵犯商业秘密、侵犯著作权等,请点击“违规举报”。

碎片内容

高中数学 第四章 数列 4.1 第2课时 数列的递推公式课后提升训练(含解析)新人教A版选择性必修第二册-新人教A版高二第二册数学试题

;绿洲书城+ 关注
实名认证
内容提供者

从事历史教学,热爱教育,高度负责。

相关文档

确认删除?
微信客服
  • 扫码咨询
会员Q群
  • 会员专属群点击这里加入QQ群