电脑桌面
添加小米粒文库到电脑桌面
安装后可以在桌面快捷访问

江苏省江阴市成化高中数学一周作业三 苏教版VIP免费

江苏省江阴市成化高中数学一周作业三  苏教版_第1页
1/26
江苏省江阴市成化高中数学一周作业三  苏教版_第2页
2/26
江苏省江阴市成化高中数学一周作业三  苏教版_第3页
3/26
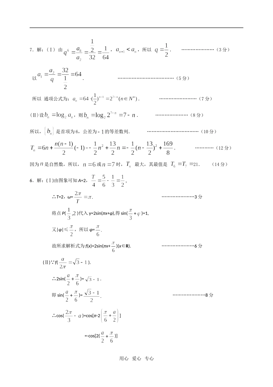
作业191、函数的定义域为。2、已知集合=,,则=。3、若函数是幂函数,且在上是减函数,则实数。m=24.已知对任意的满足,且,那么等于5.将函数的图象F按向量平移得到图象,若的一条对称轴是直线,则的一个可能取值是AA.B.6.已知函数f(x)=Asin(ωx+φ)(x∈R,A>0,ω>0,|φ|<)的图象(部分)如图所示.(Ⅰ)试确定f(x)的解析式;(Ⅱ)若,求的值.7.已知等比数列中,,,.(Ⅰ)求数列的通项公式;(Ⅱ)设,求的最大值及相应的值.8.已知二次函数(a,b为常数且a≠0)满足条件,且方程有等根(1)求的解析式(2)是否存在实数m,n(m

1、当您付费下载文档后,您只拥有了使用权限,并不意味着购买了版权,文档只能用于自身使用,不得用于其他商业用途(如 [转卖]进行直接盈利或[编辑后售卖]进行间接盈利)。
2、本站所有内容均由合作方或网友上传,本站不对文档的完整性、权威性及其观点立场正确性做任何保证或承诺!文档内容仅供研究参考,付费前请自行鉴别。
3、如文档内容存在违规,或者侵犯商业秘密、侵犯著作权等,请点击“违规举报”。

碎片内容

江苏省江阴市成化高中数学一周作业三 苏教版

海博书城+ 关注
实名认证
内容提供者

从事历史教学,热爱教育,高度负责。

确认删除?
微信客服
  • 扫码咨询
会员Q群
  • 会员专属群点击这里加入QQ群