电脑桌面
添加小米粒文库到电脑桌面
安装后可以在桌面快捷访问

高三导数压轴题题型归纳VIP免费

高三导数压轴题题型归纳_第1页
1/25
高三导数压轴题题型归纳_第2页
2/25
高三导数压轴题题型归纳_第3页
3/25
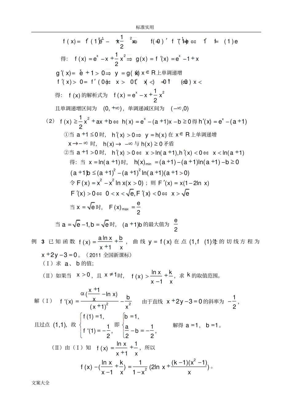
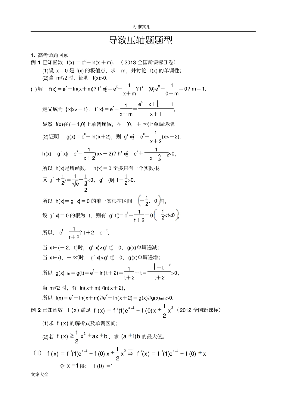
标准实用文案大全导数压轴题题型1.高考命题回顾例1已知函数f(x)=ex-ln(x+m).(2013全国新课标Ⅱ卷)(1)设x=0是f(x)的极值点,求m,并讨论f(x)的单调性;(2)当m≤2时,证明f(x)>0.(1)解f(x)=ex-ln(x+m)?f′(x)=ex-1x+m?f′(0)=e0-10+m=0?m=1,定义域为{x|x>-1},f′(x)=ex-1x+m=exx+-1x+1,显然f(x)在(-1,0]上单调递减,在[0,+∞)上单调递增.(2)证明g(x)=ex-ln(x+2),则g′(x)=ex-1x+2(x>-2).h(x)=g′(x)=ex-1x+2(x>-2)?h′(x)=ex+1x+2>0,所以h(x)是增函数,h(x)=0至多只有一个实数根,又g′(-12)=1e-132<0,g′(0)=1-12>0,所以h(x)=g′(x)=0的唯一实根在区间-12,0内,设g′(x)=0的根为t,则有g′(t)=et-1t+2=0-12g′(t)=0,g(x)单调递增;所以g(x)min=g(t)=et-ln(t+2)=1t+2+t=+t2t+2>0,当m≤2时,有ln(x+m)≤ln(x+2),所以f(x)=ex-ln(x+m)≥ex-ln(x+2)=g(x)≥g(x)min>0.例2已知函数)(xf满足2121)0()1(')(xxfefxfx(2012全国新课标)(1)求)(xf的解析式及单调区间;(2)若baxxxf221)(,求ba)1(的最大值。(1)1211()(1)(0)()(1)(0)2xxfxfefxxfxfefx令1x得:(0)1f标准实用文案大全1211()(1)(0)(1)1(1)2xfxfexxffefe得:21()()()12xxfxexxgxfxex()10()xgxeygx在xR上单调递增()0(0)0,()0(0)fxfxfxfx得:()fx的解析式为21()2xfxexx且单调递增区间为(0,),单调递减区间为(,0)(2)21()()(1)02xfxxaxbhxeaxb得()(1)xhxea①当10a时,()0()hxyhx在xR上单调递增x时,()hx与()0hx矛盾②当10a时,()0ln(1),()0ln(1)hxxahxxa得:当ln(1)xa时,min()(1)(1)ln(1)0hxaaab22(1)(1)(1)ln(1)(10)abaaaa令22()ln(0)Fxxxxx;则()(12ln)Fxxx()00,()0FxxeFxxe当xe时,max()2eFx当1,aebe时,(1)ab的最大值为2e例3已知函数ln()1axbfxxx,曲线()yfx在点(1,(1))f处的切线方程为230xy。(2011全国新课标)(Ⅰ)求a、b的值;(Ⅱ)如果当0x,且1x时,ln()1xkfxxx,求k的取值范围。解(Ⅰ)221(ln)'()(1)xxbxfxxx由于直线230xy的斜率为12,且过点(1,1),故(1)1,1'(1),2ff即1,1,22bab解得1a,1b。(Ⅱ)由(Ⅰ)知ln1f()1xxxx,所以22ln1(1)(1)()()(2ln)11xkkxfxxxxxx。标准实用文案大全考虑函数()2lnhxx2(1)(1)kxx(0)x,则22(1)(1)2'()kxxhxx。(i)设0k,由222(1)(1)'()kxxhxx知,当1x时,'()0hx,h(x)递减。而(1)0h故当(0,1)x时,()0hx,可得21()01hxx;当x(1,+)时,h(x)<0,可得211xh(x)>0从而当x>0,且x1时,f(x)-(1lnxx+xk)>0,即f(x)>1lnxx+xk.(ii)设00,故'h(x)>0,而h(1)=0,故当x(1,k11)时,h(x)>0,可得211xh(x)<0,与题设矛盾。(iii)设k1.此时212xx,2(1)(1)20kxx'h(x)>0,而h(1)=0,故当x(1,+)时,h(x)>0,可得211xh(x)<0,与题设矛盾。综合得,k的取值范围为(-,0]例4已知函数f(x)=(x3+3x2+ax+b)e-x.(2009宁夏、海南)(1)若a=b=-3,求f(x)的单调区间;(2)若f(x)在(-∞,α),(2,β)单调增加,在(α,2),(β,+∞)单调减少,证明β-α>6.解:(1)当a=b=-3时,f(x)=(x3+3x2-3x-3)e-x,故f′(x)=-(x3+3x2-3x-3)e-x+(3x2+6x-3)e-x=-e-x(x3-9x)=-x(x-3)(x+3)e-x.当x<-3或0<x<3时,f′(x)>0;当-3<x<0或x>3时,f′(x)<0.从而f(x)在(-∞,-3),(0,3)单调增加,在(-3,0),(3,+∞)单调减少.(2)f′(x)=-(x3+3x2+ax+b)e-x+(3x2+6x+a)e-x=-e-x[x3+(a-6)x+b-a].由条件得f′(2)=0,即23+2(a-6)+b-a=0,故b=4-a.从而f′(x)=-e-x[x3+(a-6)x+4-2a].因为f′(α)=f′(β)=0,所以x3+(a-6)x+4-2a=(x-2)(x-α)(x-β)=(x-2)[x2-(α+β)x+αβ].将右边展开,与左边比较系数,得α+β=-2,αβ=a-2.故a4124)(2.又(β-2)(α-2)<0,即αβ-2(α+β)+4<0.由此可得a<-6.于是β-α>6.2.在解题中常用的有...

1、当您付费下载文档后,您只拥有了使用权限,并不意味着购买了版权,文档只能用于自身使用,不得用于其他商业用途(如 [转卖]进行直接盈利或[编辑后售卖]进行间接盈利)。
2、本站所有内容均由合作方或网友上传,本站不对文档的完整性、权威性及其观点立场正确性做任何保证或承诺!文档内容仅供研究参考,付费前请自行鉴别。
3、如文档内容存在违规,或者侵犯商业秘密、侵犯著作权等,请点击“违规举报”。

碎片内容

高三导数压轴题题型归纳

文库当当响+ 关注
实名认证
内容提供者

该用户很懒,什么也没介绍

确认删除?
VIP
微信客服
  • 扫码咨询
会员Q群
  • 会员专属群点击这里加入QQ群
客服邮箱
回到顶部