电脑桌面
添加小米粒文库到电脑桌面
安装后可以在桌面快捷访问

分式单元检测北兴VIP免费

分式单元检测北兴_第1页
1/2
分式单元检测北兴_第2页
2/2
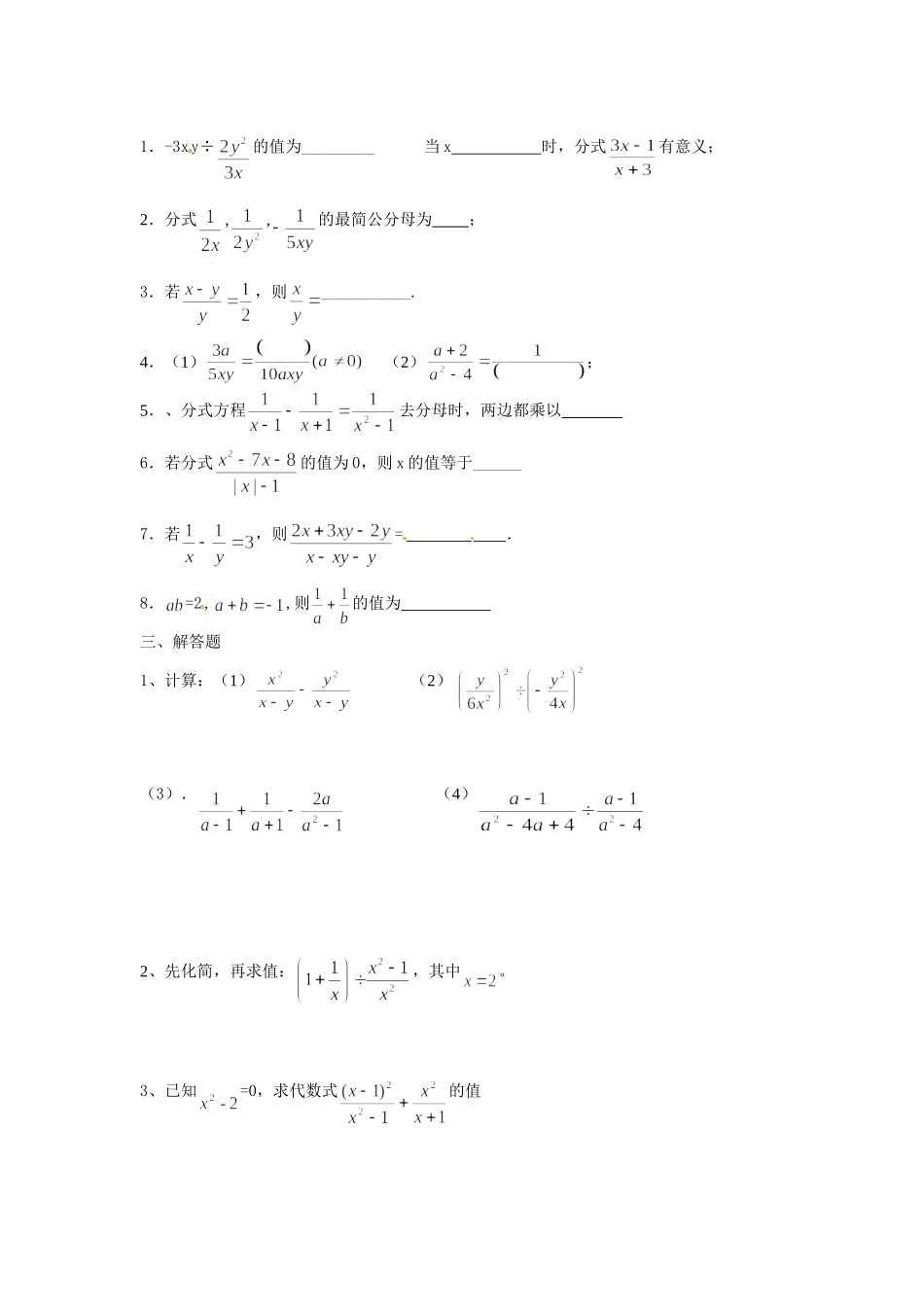
分式单元检测一、选择题1.大拖拉机m天耕地公顷,小拖拉机n天耕地b公顷,大拖机的工作效率是小拖机的工作效率()倍.A.B.C.D.2.使分式1122aa有意义的a的取值是()A、a≠1B、a≠±1C、a≠-1D、a为任意实数3.如果把分式中的x和y的值都扩大了3倍,那么分式的值()A.扩大3倍B.扩大2倍C.扩大6倍D.不变3.下列公式中是最简分式的是()A.B.C.D.5.下列计算正确的是()A.B.C.D.6.化简的结果是()A、B、C、D、7.能使分式122xxx的值为零的所有x的值是()A、0xB、1xC、0x或1xD、0x或1x8.(-)÷6ab的结果是()A.-8a2B.-C.-D.-9.化简的结果是()A.0B.-C.-D.二、填空题1.-3xy÷的值为_________当x时,分式有意义;2.分式,,的最简公分母为;3.若,则___________.4.(1)(2);5.、分式方程去分母时,两边都乘以6.若分式的值为0,则x的值等于______7.若,则=.8.=2,,则的值为三、解答题1、计算:(1)(2)(3).(4)2、先化简,再求值:,其中。3、已知=0,求代数式的值

1、当您付费下载文档后,您只拥有了使用权限,并不意味着购买了版权,文档只能用于自身使用,不得用于其他商业用途(如 [转卖]进行直接盈利或[编辑后售卖]进行间接盈利)。
2、本站所有内容均由合作方或网友上传,本站不对文档的完整性、权威性及其观点立场正确性做任何保证或承诺!文档内容仅供研究参考,付费前请自行鉴别。
3、如文档内容存在违规,或者侵犯商业秘密、侵犯著作权等,请点击“违规举报”。

碎片内容

分式单元检测北兴

您可能关注的文档

百万精品文档+ 关注
实名认证
内容提供者

中小学学习资料教案课件

相关文档

确认删除?
VIP
微信客服
  • 扫码咨询
会员Q群
  • 会员专属群点击这里加入QQ群
客服邮箱
回到顶部