电脑桌面
添加小米粒文库到电脑桌面
安装后可以在桌面快捷访问

《分数除法》同步练习10-(2)VIP免费

《分数除法》同步练习10-(2)_第1页
1/3
《分数除法》同步练习10-(2)_第2页
2/3
《分数除法》同步练习10-(2)_第3页
3/3
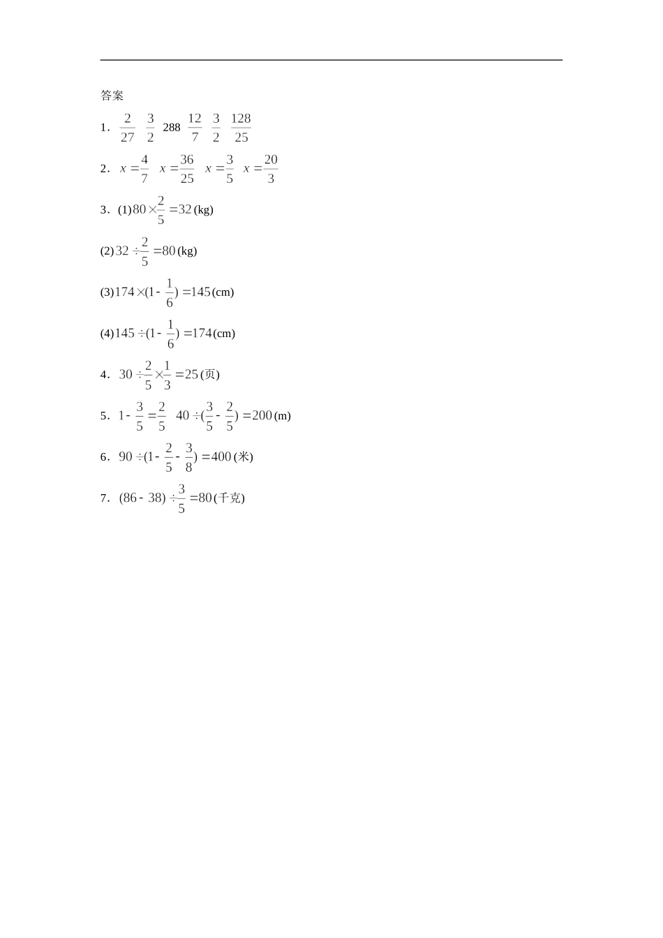
《分数除法》同步练习1.计算下面各题。2.解方程。3.(1)爸爸重80kg,q明明的体重是爸爸体重的,明明有多重?(2)明明重32kg,是爸爸体重的,爸爸有多重?(3)爸爸身高174cm,明明比爸爸矮,明明有多高?(4)明明身高145cm,比爸爸矮,爸爸有多高?4.小红是个爱看书的孩子,她在看一本故事书,第一天看了30页,占全书的,第二天看了全书的,第二天看了多少页?5.一捆电线用去了,比剩下的多40m,这捆电线原来有多少米?6.某施工队挖一条水渠,第一天挖了全长的,第二天挖了全长的,第三天挖了90米正好全部完成。这条水渠有多长?7.原来桶中的油重多少千克?答案1.2882.3.(1)(kg)(2)(kg)(3)(cm)(4)(cm)4.(页)5.(m)6.(米)7.(千克)

1、当您付费下载文档后,您只拥有了使用权限,并不意味着购买了版权,文档只能用于自身使用,不得用于其他商业用途(如 [转卖]进行直接盈利或[编辑后售卖]进行间接盈利)。
2、本站所有内容均由合作方或网友上传,本站不对文档的完整性、权威性及其观点立场正确性做任何保证或承诺!文档内容仅供研究参考,付费前请自行鉴别。
3、如文档内容存在违规,或者侵犯商业秘密、侵犯著作权等,请点击“违规举报”。

碎片内容

《分数除法》同步练习10-(2)

您可能关注的文档

精品中小学资料+ 关注
实名认证
内容提供者

精品文档

确认删除?
VIP
微信客服
  • 扫码咨询
会员Q群
  • 会员专属群点击这里加入QQ群
客服邮箱
回到顶部