电脑桌面
添加小米粒文库到电脑桌面
安装后可以在桌面快捷访问

(北京专用)高考数学一轮复习 第四章 三角函数、解三角形 第三节 两角和与差的正弦、余弦、正切公式及二倍角公式作业本 理-人教版高三全册数学试题VIP免费

(北京专用)高考数学一轮复习 第四章 三角函数、解三角形 第三节 两角和与差的正弦、余弦、正切公式及二倍角公式作业本 理-人教版高三全册数学试题_第1页
1/6
(北京专用)高考数学一轮复习 第四章 三角函数、解三角形 第三节 两角和与差的正弦、余弦、正切公式及二倍角公式作业本 理-人教版高三全册数学试题_第2页
2/6
(北京专用)高考数学一轮复习 第四章 三角函数、解三角形 第三节 两角和与差的正弦、余弦、正切公式及二倍角公式作业本 理-人教版高三全册数学试题_第3页
3/6
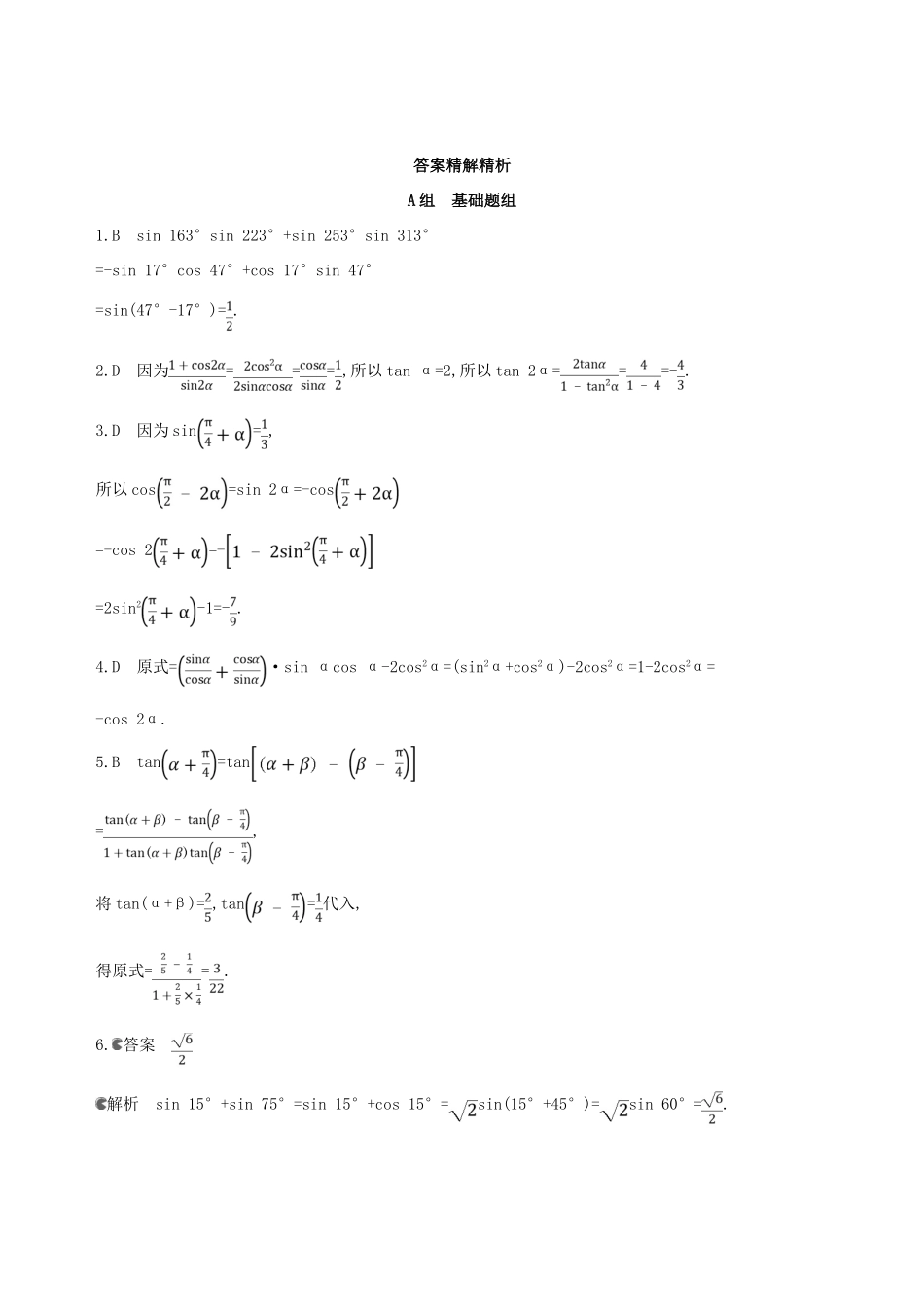
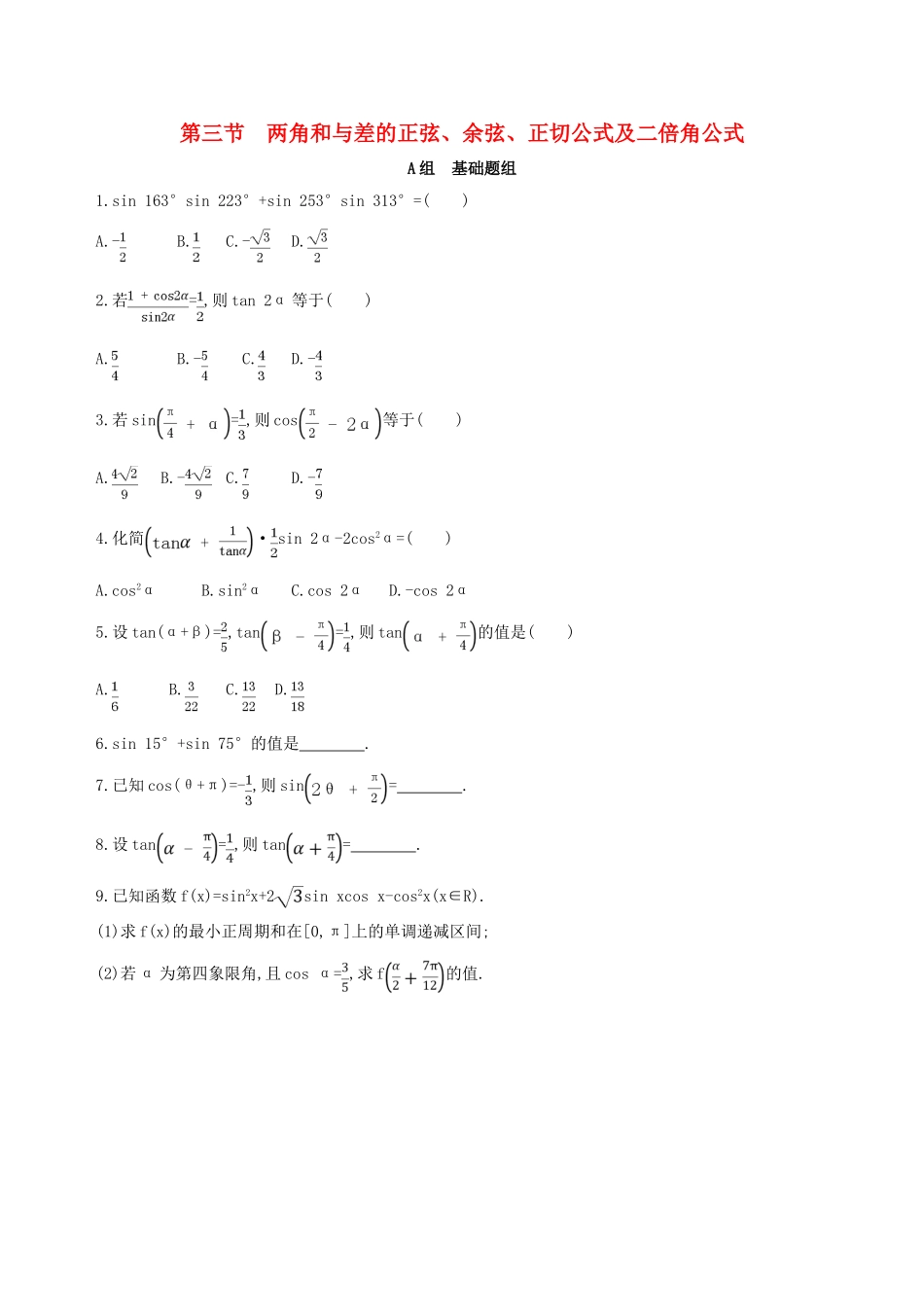
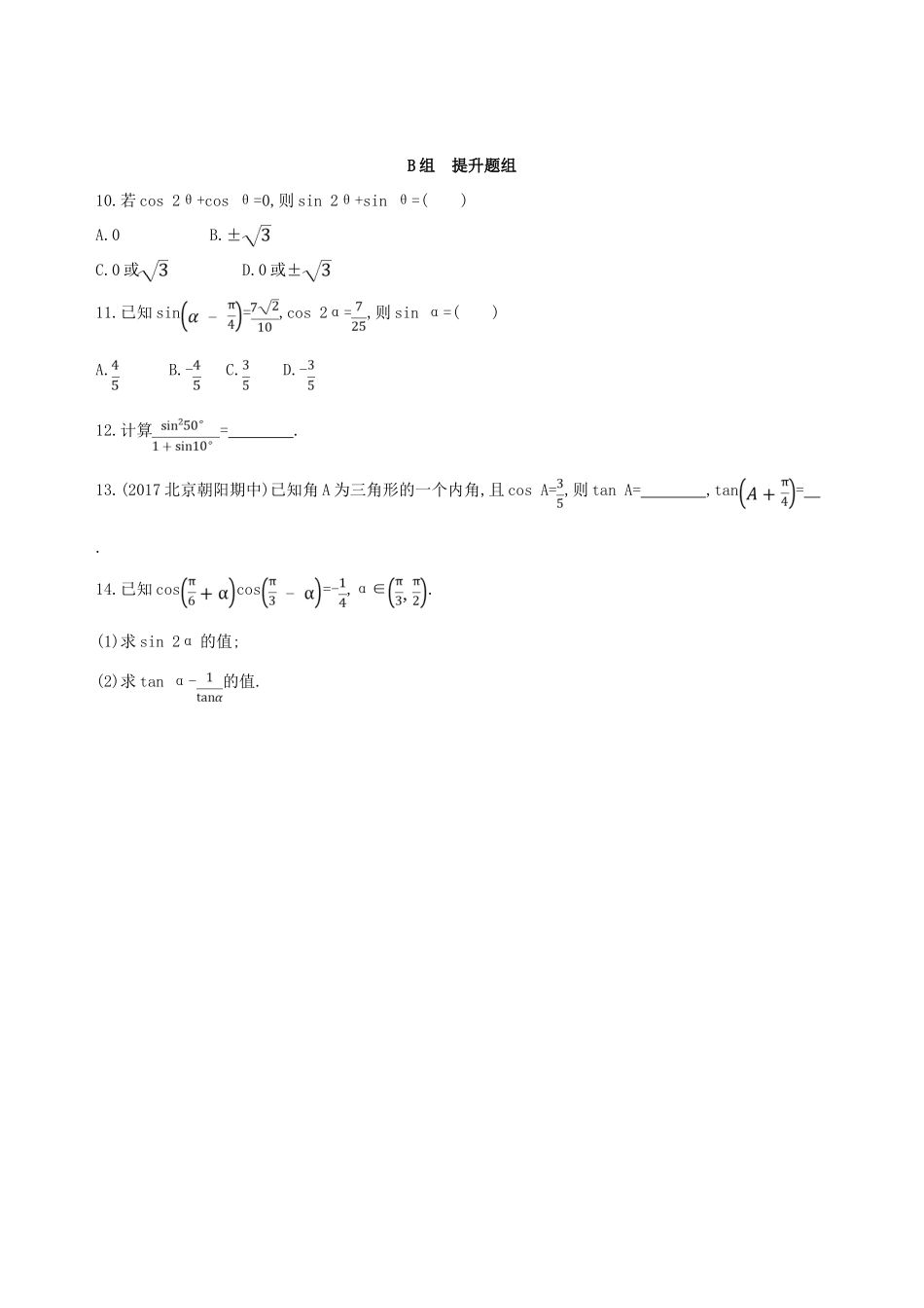
第三节两角和与差的正弦、余弦、正切公式及二倍角公式A组基础题组1.sin163°sin223°+sin253°sin313°=()A.-B.C.-D.2.若=,则tan2α等于()A.B.-C.D.-3.若sin=,则cos等于()A.B.-C.D.-4.化简·sin2α-2cos2α=()A.cos2αB.sin2αC.cos2αD.-cos2α5.设tan(α+β)=,tan=,则tan的值是()A.B.C.D.6.sin15°+sin75°的值是.7.已知cos(θ+π)=-,则sin=.8.设tan=,则tan=.9.已知函数f(x)=sin2x+2sinxcosx-cos2x(x∈R).(1)求f(x)的最小正周期和在[0,π]上的单调递减区间;(2)若α为第四象限角,且cosα=,求f的值.B组提升题组10.若cos2θ+cosθ=0,则sin2θ+sinθ=()A.0B.±C.0或D.0或±11.已知sin=,cos2α=,则sinα=()A.B.-C.D.-12.计算=.13.(2017北京朝阳期中)已知角A为三角形的一个内角,且cosA=,则tanA=,tan=.14.已知coscos=-,α∈.(1)求sin2α的值;(2)求tanα-的值.答案精解精析A组基础题组1.Bsin163°sin223°+sin253°sin313°=-sin17°cos47°+cos17°sin47°=sin(47°-17°)=.2.D因为===,所以tanα=2,所以tan2α===-.3.D因为sin=,所以cos=sin2α=-cos=-cos2=-=2sin2-1=-.4.D原式=·sinαcosα-2cos2α=(sin2α+cos2α)-2cos2α=1-2cos2α=-cos2α.5.Btan=tan=,将tan(α+β)=,tan=代入,得原式==.6.答案解析sin15°+sin75°=sin15°+cos15°=sin(15°+45°)=sin60°=.7.答案-解析因为cos(θ+π)=-,所以cosθ=,则sin=cos2θ=2cos2θ-1=-.8.答案-4解析∵tan===,∴tanα=,∴tan==-4.9.解析(1)f(x)=sin2x+2sinxcosx-cos2x=sin2x-cos2x=2sin,所以最小正周期T==π.由+2kπ≤2x-≤+2kπ,k∈Z,得+kπ≤x≤+kπ,k∈Z,故函数f(x)在[0,π]上的单调递减区间为.(2)因为α为第四象限角,且cosα=,所以sinα=-.所以f=2sin=-2sinα=.B组提升题组10.D由cos2θ+cosθ=0,得2cos2θ-1+cosθ=0,所以cosθ=-1或.当cosθ=-1时,有sinθ=0;当cosθ=时,有sinθ=±.于是sin2θ+sinθ=sinθ(2cosθ+1)=0或或-.11.C由sin=得sinα-cosα=,①由cos2α=得cos2α-sin2α=,所以(cosα-sinα)·(cosα+sinα)=,②由①②可得cosα+sinα=-,③由①③可得sinα=.12.答案解析====.13.答案;-7解析∵角A为三角形的一个内角,且cosA=,∴sinA=,tanA==.∴tan===-7.14.解析(1)cos·cos=cos·sin=sin=-,即sin=-.∵α∈,∴2α+∈,∴cos=-,∴sin2α=sin=sincos-cossin=×-×=.(2)∵α∈,∴2α∈,由(1)知sin2α=,∴cos2α=-.∴tanα-=-===-2×=2.

1、当您付费下载文档后,您只拥有了使用权限,并不意味着购买了版权,文档只能用于自身使用,不得用于其他商业用途(如 [转卖]进行直接盈利或[编辑后售卖]进行间接盈利)。
2、本站所有内容均由合作方或网友上传,本站不对文档的完整性、权威性及其观点立场正确性做任何保证或承诺!文档内容仅供研究参考,付费前请自行鉴别。
3、如文档内容存在违规,或者侵犯商业秘密、侵犯著作权等,请点击“违规举报”。

碎片内容

(北京专用)高考数学一轮复习 第四章 三角函数、解三角形 第三节 两角和与差的正弦、余弦、正切公式及二倍角公式作业本 理-人教版高三全册数学试题

确认删除?
VIP
微信客服
  • 扫码咨询
会员Q群
  • 会员专属群点击这里加入QQ群
客服邮箱
回到顶部