电脑桌面
添加小米粒文库到电脑桌面
安装后可以在桌面快捷访问

中考专题一数与式VIP免费

中考专题一数与式_第1页
1/5
中考专题一数与式_第2页
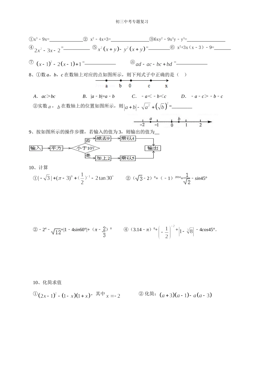
2/5
中考专题一数与式_第3页
3/5
初三中考专题复习中考专题复习(一)数与式一、数与式中考考点分析2012---2014年株洲中考考点分析---------数与式考点实数相关概念科学记数法实数的运算代数式及其求值整式及其运算因式分解分式的运算考查次数3232332二、典型例题1、①下列各数中,绝对值最大的数是()A.-3B.-2C.0D.1②下列各数:其中无理数的个数为()A.1个B.2个C.3个D.4个2、①要使二次根式24x有意义,那么x的取值范围是()A.2xB.2xC.2xD.2x②若分式的值为零,则x的值为()A.0B.1C.﹣1D.±1③在式子中,x可以取2和3的是()A.B.C.D.3、①设n为正整数,且n<<n+1,则n的值为()A.5B.6C.7D.8②四个实数﹣2,0,﹣,中,最大的实数是()A.﹣2B.0C.﹣D.4、①下列运算正确的是()A.a3+a3=a6B.2(a+1)=2a+1C.(ab)2=a2b2D.a6÷a3=a2②下列运算正确的是()A.π﹣3.14=0B.+=C.a•a=2aD.5、①8的平方根是②的算术平方根为.③-27的立方根为.④下列计算正确的是()A.B.C.﹣(﹣2)0=1D.|﹣3|=﹣36、①25000000用科学记数法表示为.②8450亿元用科学记数法表示为元③用科学记数法表示为④6.18×10﹣3化为小数的7、因式分解初三中考专题复习①x3﹣9x=②x2﹣4x+3=③6xy2﹣9x2y﹣y3=④=⑤=⑥x2+3x(x﹣3)﹣9=⑦=⑧=8、①数a,b,c在数轴上对应的点如图所示,则下列式子中正确的是()A.ac>bcB.|a﹣b|=a﹣bC.﹣a<﹣b<cD.﹣a﹣c>﹣b﹣c②实数a,b在数轴上的位置如图所示,则=9、按如图所示的操作步骤,若输入的值为3,则输出的值为10、计算①②(﹣2)0+(﹣1)2014+﹣sin45°②﹣24﹣+|1﹣4sin60°|+(π﹣)0④(3.14﹣π)0++﹣4cos45°.10、化简求值①,其中②化简:初三中考专题复习③,用一个你喜欢的④,其中数代替求值.11、解方程①②2x2﹣4x﹣1=0.③④作业1、实数﹣2,0,﹣,1中,最大的实数是()A.﹣2B.0C.﹣D.12、运算正确的是()A.a3+a4=a7B.2a3•a4=2a7C.(2a4)3=8a7D.a8÷a2=a43、计算中,正确的是()A.a3•a2=a6B.(π﹣3.14)0=1C.()﹣1=﹣3D.=±34、用符号[x]表示一个实数的整数部分,例如[3.69]=3.[]=1,按此规定,[﹣1]=5、直角三角形的两直角边长为a、b,且满足,则该直角三角形的斜边长为6、因式分解正确的是()A.2x2﹣2=2(x+1)(x﹣1)B.x2+2x﹣1=(x﹣1)2C.x2+1=(x+1)2D.x2﹣x+2=x(x﹣1)+27、2amb4与5an+2b2m+n可以合并成一项,则mn的值是()A.2B.0C.﹣1D.1初三中考专题复习8、A、B两点在数轴上表示的数分别是a、b,则下列式子中成立的是()A.a+b<0B.a﹣<﹣bC.12a﹣>12b﹣D.|a||b|﹣>09、方程的解为()A.1B.2C.3D.410、因式分解:①=②=③=④=11、①已知一个完全平方数,则为;②则为.12、计算①(+π)0﹣2|1﹣sin30°|+②③④先化简,再求值:(+)•(x2﹣1),其中x=.⑤⑥如果实数满足,求代数式初三中考专题复习的值.

1、当您付费下载文档后,您只拥有了使用权限,并不意味着购买了版权,文档只能用于自身使用,不得用于其他商业用途(如 [转卖]进行直接盈利或[编辑后售卖]进行间接盈利)。
2、本站所有内容均由合作方或网友上传,本站不对文档的完整性、权威性及其观点立场正确性做任何保证或承诺!文档内容仅供研究参考,付费前请自行鉴别。
3、如文档内容存在违规,或者侵犯商业秘密、侵犯著作权等,请点击“违规举报”。

碎片内容

中考专题一数与式

您可能关注的文档

确认删除?
VIP
微信客服
  • 扫码咨询
会员Q群
  • 会员专属群点击这里加入QQ群
客服邮箱
回到顶部