电脑桌面
添加小米粒文库到电脑桌面
安装后可以在桌面快捷访问

七年级下册乘法公式常见题型VIP免费

七年级下册乘法公式常见题型_第1页
1/4
七年级下册乘法公式常见题型_第2页
2/4
七年级下册乘法公式常见题型_第3页
3/4
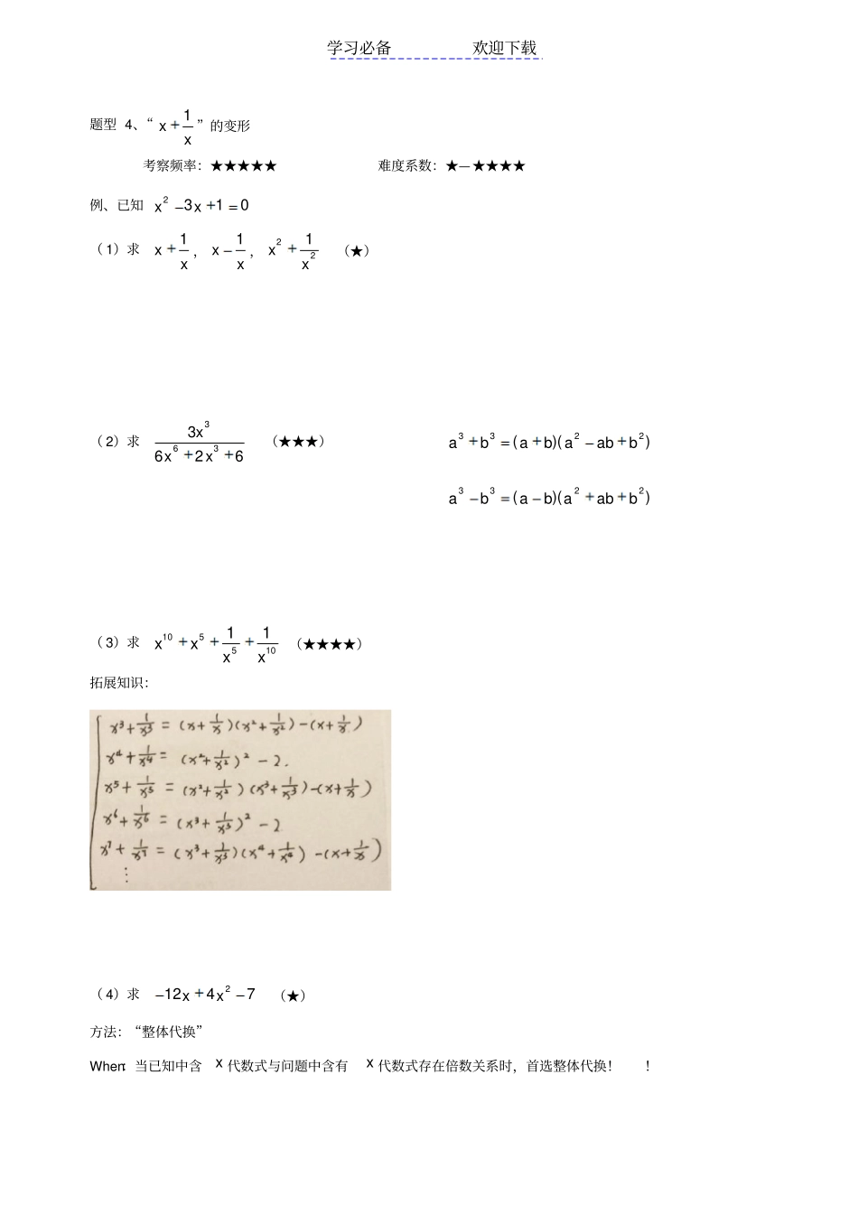
学习必备欢迎下载知识点三:乘法公式常见题型一、乘法公式类平方差:22ba完全平方公式:2)(ba注:a,b可以是单项式,也可以是多项式题型1、计算(化简求值)考察频率:★★★★★难度系数:★例、先化简再求值,已知2a,1b,求44)2)(2(22abbababa的值题型2、含参的完全平方公式,求m考察频率:★★★★难度系数:★例、已知:2294ymxyx是完全平方公式,求m题型3、知二推二考察频率:★★★★难度系数:★★例1、已知:7ba,2922ba,求abba。总结:,遇见ba,ba直接平方,是切入问题的关键点!!!例2、已知09)6)((baba,04422abba,求22ba分析:培养整体思维学习必备欢迎下载题型4、“xx1”的变形考察频率:★★★★★难度系数:★—★★★★例、已知0132xx(1)求xx1,xx1,221xx(★)(2)求6263363xxx(★★★)))((2233babababa))((2233babababa(3)求10551011xxxx(★★★★)拓展知识:(4)求74122xx(★)方法:“整体代换”When:当已知中含x代数式与问题中含有x代数式存在倍数关系时,首选整体代换!!学习必备欢迎下载(5)求815323xxx(★★)方法:降幂法When:当问题中最高次项的指数大于已知中最高次项的指数时题型5、配方考察频率:★★★★难度系数:★★★例、已知0141234222yyxx,求2)(yxxy解:1)寻中间项2)从中间项找平方项3)确定另一个平方项4)确定最后的分组5)求值题型6、复杂乘法公式考察频率:★★难度系数:★★★例:已知a,b,c是△ABC三条边,且满足cabcabcba222,则这个三角形的形状是什么?总结:重要恒等变形222222)()()(21accbbacabcabcba222222)()()(21accbbacabcabcba学习必备欢迎下载

1、当您付费下载文档后,您只拥有了使用权限,并不意味着购买了版权,文档只能用于自身使用,不得用于其他商业用途(如 [转卖]进行直接盈利或[编辑后售卖]进行间接盈利)。
2、本站所有内容均由合作方或网友上传,本站不对文档的完整性、权威性及其观点立场正确性做任何保证或承诺!文档内容仅供研究参考,付费前请自行鉴别。
3、如文档内容存在违规,或者侵犯商业秘密、侵犯著作权等,请点击“违规举报”。

碎片内容

七年级下册乘法公式常见题型

您可能关注的文档

爱的疯狂+ 关注
实名认证
内容提供者

该用户很懒,什么也没介绍

确认删除?
VIP
微信客服
  • 扫码咨询
会员Q群
  • 会员专属群点击这里加入QQ群
客服邮箱
回到顶部