电脑桌面
添加小米粒文库到电脑桌面
安装后可以在桌面快捷访问

中南大学软件学院软件体系结构试验1UML试验-参考答案汇总VIP免费

中南大学软件学院软件体系结构试验1UML试验-参考答案汇总_第1页
1/11
中南大学软件学院软件体系结构试验1UML试验-参考答案汇总_第2页
2/11
中南大学软件学院软件体系结构试验1UML试验-参考答案汇总_第3页
3/11
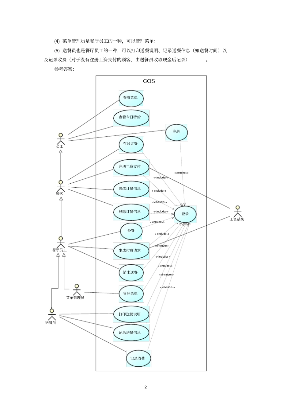
1《UML实验》参考答案1.某酒店订房系统描述如下:(1)顾客可以选择在线预订,也可以直接去酒店通过前台服务员预订;(2)前台服务员可以利用系统直接在前台预订房间;(3)不管采用哪种预订方式,都需要在预订时支付相应订金;(4)前台预订可以通过现金或信用卡的形式进行订金支付,但是网上预订只能通过信用卡进行支付;(5)利用信用卡进行支付时需要和信用卡系统进行通信;(6)客房部经理可以随时查看客房预订情况和每日收款情况。绘制该酒店订房系统的用例图。参考答案:酒店订房系统<><><>顾客在线预订房间前台预订房间前台服务员客房部经理通过现金支付订金通过信用卡支付订金查看客房预订情况查看每日收款情况信用卡系统2.根据以下场景绘制用例图:某企业为了方便员工用餐,为企业餐厅开发了一个订餐系统(COS:CafeteriaOrderingSystem),企业员工可通过企业内联网使用该系统。该系统功能描述如下:(1)企业的任何员工都可以查看菜单和今日特价;(2)系统的顾客是注册到系统的员工,可以在线订餐(以下操作均需先登录)、注册工资支付、修改订餐信息和删除订餐信息,在注册工资支付时需要通过工资系统进行身份验证;(3)餐厅员工是特殊的顾客,可以进行备餐(系统记录备餐信息)、生成付费请求和请求送餐,其中对于注册使用工资支付的顾客生成付费请求并发送给工资系统;2(4)菜单管理员是餐厅员工的一种,可以管理菜单;(5)送餐员也是餐厅员工的一种,可以打印送餐说明、记录送餐信息(如送餐时间)以及记录收费(对于没有注册工资支付的顾客,由送餐员收取现金后记录)。参考答案:COS<><><><><><><><><><><><>员工顾客餐厅员工菜单管理员送餐员查看菜单查看今日特价在线订餐注册工资支付修改订餐信息删除订餐信息工资系统备餐生成付费请求请求送餐管理菜单打印送餐说明记录送餐信息记录收费注册登录33.根据以下场景绘制用例图:某公司需开发一个反馈处理系统作为其CRM的一部分。系统基本功能描述如下:(1)客户可通过系统发布反馈信息;(2)公司客户关系(CR)部门员工也可以在系统中记录反馈信息;(3)业务部门的主管和员工均能看到本部门的反馈信息,但只有CR部门员工拥有修改与删除反馈的权限;(4)对于部分需要调查以便验证其真实性并需要做相关处理的反馈信息,业务部门主管有权通过系统安排本部门员工调查及处理该反馈;(5)反馈调查与处理完毕后,负责调查的员工可通过系统输入反馈的详细情况;(6)公司高层可查看未决反馈统计报表和各业务部门的反馈统计报表;(7)所有人员进入本系统需先登录。参考答案:<><><><><><><><><><>客户CR部门员工业务部门员工业务部门主管公司高层发布反馈信息记录反馈信息修改反馈信息删除反馈信息查看本部门反馈信息授权处理该反馈输入反馈详细情况查看未决反馈统计报表查看各业务部门的反馈统计报表登录44.Drawausecasediagramforthefollowinglibrarysystem:Thelibrarystoresvariousitemsthatcanbeborrowed,includingbooksandjournals.Bookscanbeborrowedbybothstaffandstudents,butonlystaffmemberscanborrowjournals.Whenauserborrowsabook,theirloandetailsarecheckedtoensurethattheyhavenooverduebooksonloan,andhavenotalreadyborrowedthemaximumpermittednumberofbooks.Userscanchecktheirownloandetailsatanytime.Librariansarepermittedtochecktheloandetailsofanyuser.Libraryuserscanreservebooksthatarecurrentlyoutonloan.Ifthreereservationshavealreadybeenmadeforagivenbook,andafurtherreservationismade,anewcopywillbeorderedbythelibrarian.参考答案:LibrarySystem<><>StaffBorrowjournalsUserStudentBorrowbooksLibrarianCheckloandetailsReservebooksOrderanewcopy5.某银行准备开发一个网上信用卡管理系统CCMS,该系统的基本功能为:(1)信用卡申请。非信用卡客户填写...

1、当您付费下载文档后,您只拥有了使用权限,并不意味着购买了版权,文档只能用于自身使用,不得用于其他商业用途(如 [转卖]进行直接盈利或[编辑后售卖]进行间接盈利)。
2、本站所有内容均由合作方或网友上传,本站不对文档的完整性、权威性及其观点立场正确性做任何保证或承诺!文档内容仅供研究参考,付费前请自行鉴别。
3、如文档内容存在违规,或者侵犯商业秘密、侵犯著作权等,请点击“违规举报”。

碎片内容

中南大学软件学院软件体系结构试验1UML试验-参考答案汇总

您可能关注的文档

确认删除?
VIP
微信客服
  • 扫码咨询
会员Q群
  • 会员专属群点击这里加入QQ群
客服邮箱
回到顶部