电脑桌面
添加小米粒文库到电脑桌面
安装后可以在桌面快捷访问

三角函数解答题VIP免费

三角函数解答题_第1页
1/3
三角函数解答题_第2页
2/3
三角函数解答题_第3页
3/3
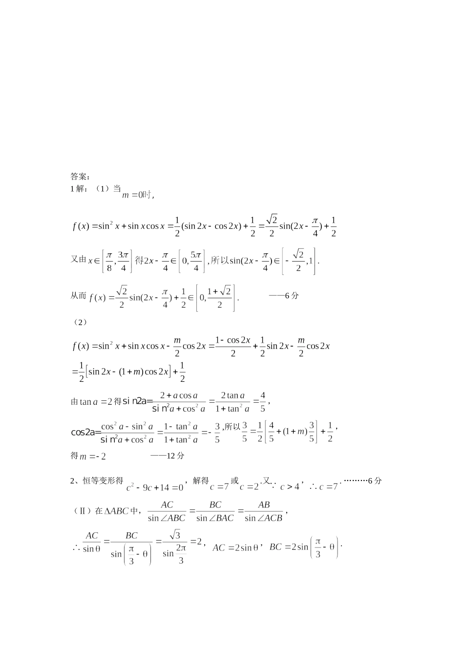
三角函数解答题1.(本小题满分12分)已知函数,(1)当时,求在区间上的取值范围;(2)当=2时,=,求的值。2.(本小题满分12分)已知分别在射线(不含端点)上运动,,在中,角、、所对的边分别是,,.(Ⅰ)若,,依次成等差数列,且公差为2.求的值;(Ⅱ)若,,试用表示的周长,并求周长的最大值.MNθACB答案:1解:(1)当又由从而——6分(2)由得,,所以,得——12分2、恒等变形得,解得或.又,.………6分(Ⅱ)在中,,,,.的周长……………9分,又,,当即时,取得最大值.……………12分

1、当您付费下载文档后,您只拥有了使用权限,并不意味着购买了版权,文档只能用于自身使用,不得用于其他商业用途(如 [转卖]进行直接盈利或[编辑后售卖]进行间接盈利)。
2、本站所有内容均由合作方或网友上传,本站不对文档的完整性、权威性及其观点立场正确性做任何保证或承诺!文档内容仅供研究参考,付费前请自行鉴别。
3、如文档内容存在违规,或者侵犯商业秘密、侵犯著作权等,请点击“违规举报”。

碎片内容

三角函数解答题

您可能关注的文档

精品文库+ 关注
实名认证
内容提供者

中小学课件教案小学资料大全

相关文档

确认删除?
VIP
微信客服
  • 扫码咨询
会员Q群
  • 会员专属群点击这里加入QQ群
客服邮箱
回到顶部