电脑桌面
添加小米粒文库到电脑桌面
安装后可以在桌面快捷访问

构建知识体系-(2)VIP专享VIP免费

构建知识体系-(2)_第1页
1/7
构建知识体系-(2)_第2页
2/7
构建知识体系-(2)_第3页
3/7
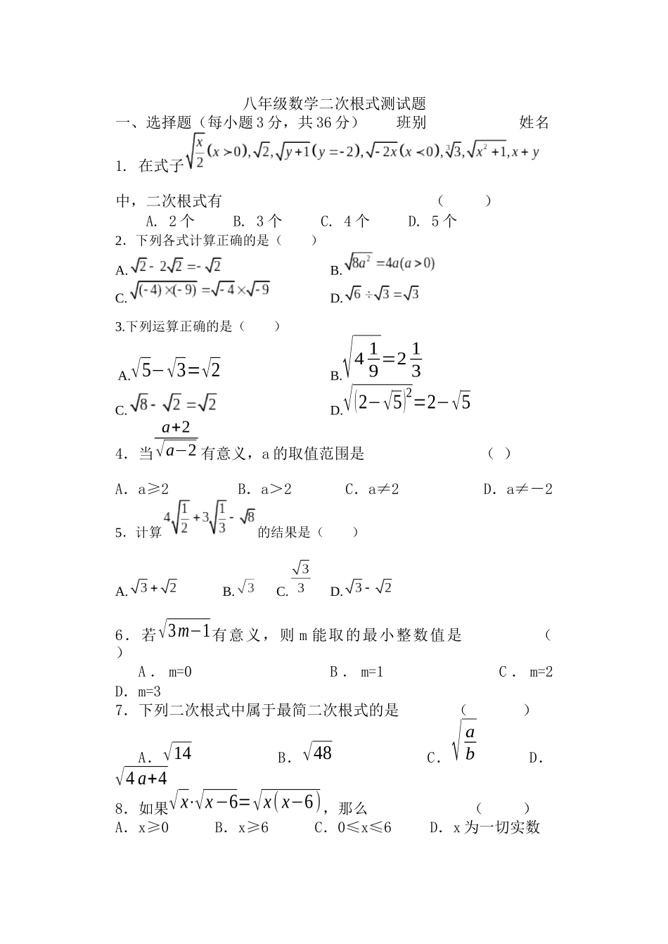
八年级数学二次根式测试题一、选择题(每小题3分,共36分)班别姓名1.在式子中,二次根式有()A.2个B.3个C.4个D.5个2.下列各式计算正确的是()A.B.C.D.3.下列运算正确的是()A.√5−√3=√2B.√419=213C.D.√(2−√5)2=2−√54.当a+2√a−2有意义,a的取值范围是()A.a≥2B.a>2C.a≠2D.a≠-25.计算的结果是()A.B.C.D.6.若√3m−1有意义,则m能取的最小整数值是()A.m=0B.m=1C.m=2D.m=37.下列二次根式中属于最简二次根式的是()A.√14B.√48C.√abD.√4a+48.如果√x⋅√x−6=√x(x−6),那么()A.x≥0B.x≥6C.0≤x≤6D.x为一切实数9.化简√15+16的结果为()A.√1130B.30√330C.√33030D.30√1110.对于二次根式,以下说法中不正确的是()A.它是一个非负数B.它是一个无理数C.它是最简二次根式D.它的最小值为311.化简√8−√2(√2+2)得()A.—2B.√2−2C.2D.4√2−212.若√(3−b)2=3−b,则()A.b>3B.b<3C.b≥3D.b≤3二、填空题(每小题2分,共24分)13.①√(−0.3)2=;②(√4)2=;③√1649=。14.二次根式1√6−x有意义的条件是。15.√x+1√x−1=√x+1x−1成立的条件是。16.比较大小:2√3√13。17.√2xy⋅√8y=,√12⋅√27=;√12÷√13=_____18.实数a,b在数轴上的位置如图所示,则的化简结果________.三、解答题19.计算:每小题3分,共12分(1)√(−144)×(−169)(2)√5÷√15(3)√18m2n(4)(−7√314)220.计算:每小题4分,共16分(1)23√334×(−9√45)(2)4√5+√45−√8+4√2(3)(4)√45÷3√15×32√223(5)21(每题5分,共10分).解方程:(1)3x2-4=0(2)(x-1)2=2722(6分).先化简,再求值:,其中.23(6分).已知、为实数,且,求的值.24(6分).已知:,求的值。25(10分).阅读下面问题:11+√2=1×(√2−1)(√2+1)(√2−1)=√2−1;试求:(1)1√7+√6的值(2)1√n+1+√n(n为正整数)的1√3+√2=√3−√2(√3+√2)(√3−√2)=√3−√2;1√4+√3=√4−√3(√4+√3)(√4−√3)=√4−√3;值;(3)求的值。九年级数学二次根式测试题答案一、选择题1.C2.D3.B4.D5.A6.B7.D8.C9.C10.A二、填空题11.①0.3②√5−212.x≥0且x≠913.—m14.x≥115.<16.4y√x1817.3√a18.相等19.120.√15+3√5+163√3三、解答题21.(1)x≥43(2)a<124(3)全体实数(4)x<022.解:(1)原式=√144×169=√144×√169=12×13=156;(2)原式=−13×15=−5;(3)原式=−12√322×5=−12×32√5=−16√5;(4)原式=√32×m2×2n=3m√2n。23.解:(1)原式=49×314=21;(2)23√154×(−27√5)=−√153×27√5=−45√3;(3)原式=4√5+3√5−2√2+4√2=8√5+2√2;(4)原式=6−√6−3√62=6−5√62;24.解:由题意可知:解得,x≥−12x且≠1。25.解:∵x—1≥0,1—x≥0,∴x=1,∴y<12.∴|1−y|y−1=1−yy−1=−1.26.(1)1√7+√6=√7−√6;(2)13√2+√17=3√2−√17;(3)1√n+1+√n=√n+1−√n。

1、当您付费下载文档后,您只拥有了使用权限,并不意味着购买了版权,文档只能用于自身使用,不得用于其他商业用途(如 [转卖]进行直接盈利或[编辑后售卖]进行间接盈利)。
2、本站所有内容均由合作方或网友上传,本站不对文档的完整性、权威性及其观点立场正确性做任何保证或承诺!文档内容仅供研究参考,付费前请自行鉴别。
3、如文档内容存在违规,或者侵犯商业秘密、侵犯著作权等,请点击“违规举报”。

碎片内容

构建知识体系-(2)

您可能关注的文档

确认删除?
VIP
微信客服
  • 扫码咨询
会员Q群
  • 会员专属群点击这里加入QQ群
客服邮箱
回到顶部