电脑桌面
添加小米粒文库到电脑桌面
安装后可以在桌面快捷访问

八年级数学二次根式的混合运算VIP免费

八年级数学二次根式的混合运算_第1页
1/10
八年级数学二次根式的混合运算_第2页
2/10
八年级数学二次根式的混合运算_第3页
3/10
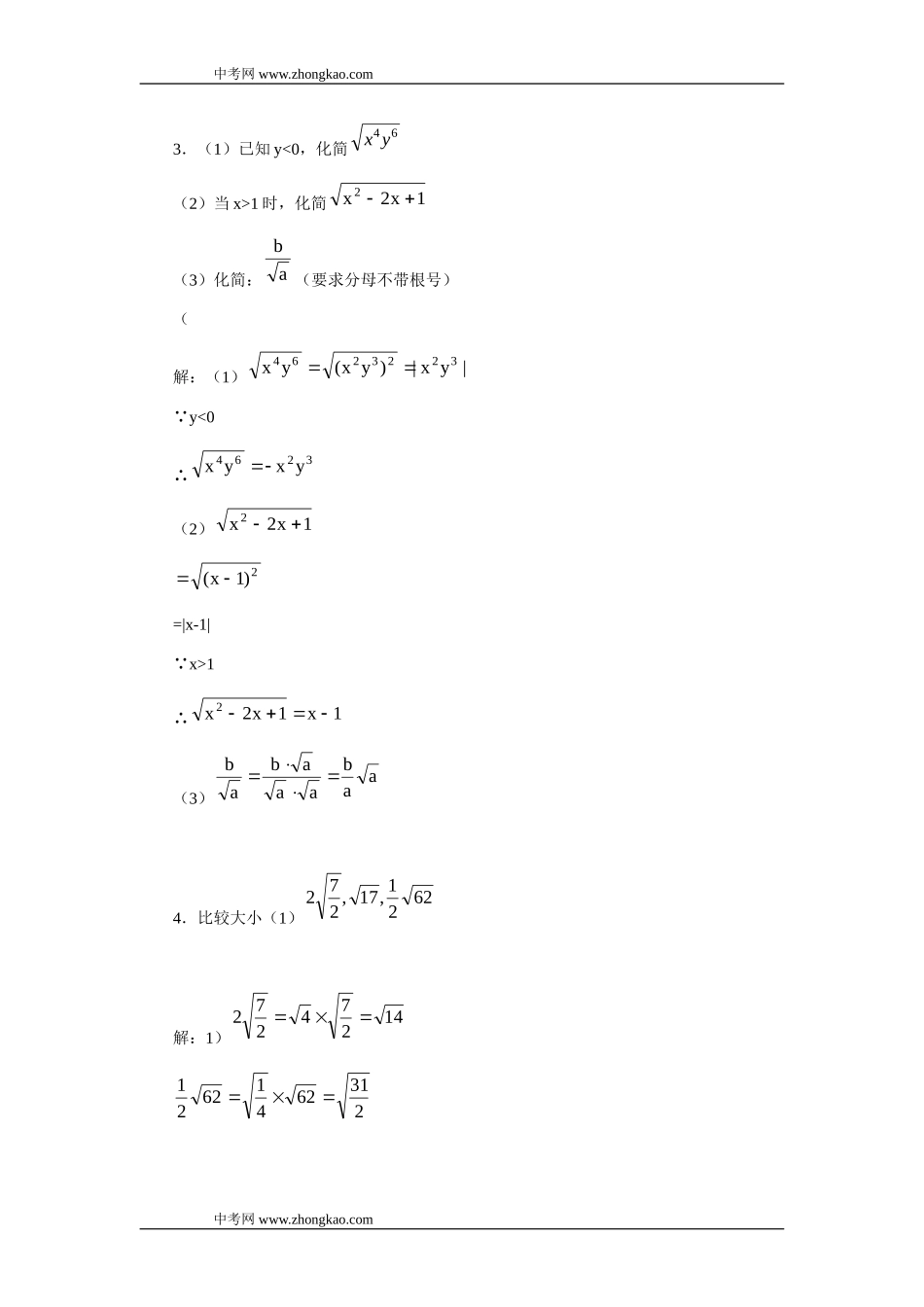
中考网www.zhongkao.com二次根式的混合运算(1)教学目的:会进行二次根式的加减、乘混合运算。重点:二次根式的加减乘混合运算。难点:运算法则的综合运用。关键:掌握混合运算顺序和步骤。教学过程:复习提问:1.叙述二次根式加减法的两个步骤。2.填空:当a≥0,b≥0时,;3.叙述单项式乘以多项式运算顺序;4.叙述多项式乘以多项式的运算法则。二次根式的乘法:abba(a≥0,b≥0)二次根式的除法:baba(a≥0,b>0)新课:形如a的式子,a表示什么?a需要满足什么条件?根据平方根的定义,当a≥0时,a表示a的算术平方根,是一个非负数,它的平方等于a;当a<0时,a无意义。形如a(a≥0)的式子叫做二次根式。有如下性质:(1))0(0aaa表示非负数且被开方数a必须大于等于零(2))0()(2aaa;(3)|a|a2;2a表示2a的算术平方根,若0x,ax22,则2ax如当a=2,-3,-0.1时,22,22222;中考网www.zhongkao.com中考网www.zhongkao.com3)3(,)3(3222;1.0)1.0(,)1.0(1.0222。所以x=|a|,即|a|a2例1计算:(1)解:。(2)解:。例2计算:(1);(2);(3)。解:(1)原式=12-18=-6;(2)原式;(3)。中考网www.zhongkao.com中考网www.zhongkao.com3.(1)已知y<0,化简64yx(2)当x>1时,化简1x2x2(3)化简:ab(要求分母不带根号)(解:(1)|yx|)yx(yx3223264∵y<0∴3264yxyx(2)1x2x22)1x(=|x-1|∵x>1∴1x1x2x2(3)aabaaabab4.比较大小(1)6221,17,272解:1)1427427223162416221中考网www.zhongkao.com中考网www.zhongkao.com因为1723114所以176221272A组1.计算:(1)182712(2)14)84232821((3)32)274483((4))26)(26(解:(1)182712182712228222(2)14)84232821(148423142821614232142122中考网www.zhongkao.com中考网www.zhongkao.com621276142321421(3)32)274483(327243482392162332423=0(4))26)(26(22)2()6(=6-2=42.计算(1)27412732(解:(1)27412732334327322231231432(同类二次根式)3)12142((合并同类二次根式)=0;5.化简求值(3)当23y,23x时,求33xyyx的值中考网www.zhongkao.com中考网www.zhongkao.com3)因为23y,23x所以123)23)(23(xy102122)32(xy2)yx(yx2222所以10101)yx(xyxyyx2233【同步达纲练习】1.计算:483314124答案:33162C组的练习已知:实数x、y满足21x11xy化简:|x-y|解:由于x-1≥0,且1-x≥0所以x=1,21y所以|x-y|=1-y中考网www.zhongkao.com中考网www.zhongkao.com四、问题探究:若41224|11|bacba求a+2b-3c的值解:依题意041b22a4|11c|ba0|11|]112)1[(]424)2[(cbbaa0|11c|]11b2)1b[(]42a4)2a[(220|11c|)11b()22a(22因为0|11|0)11(,0)22(22cba,所以011c.011b,022a所以11c,11b,22a所以a-2=4,b+1=1,c-1=1所以a=6,b=0,c=2所以a+2b-3c=6-3×2=0中考网www.zhongkao.com中考网www.zhongkao.com二次根式的混合运算(2)教学目的:1.掌握有理化因式的概念;2.会找含有二次根式的代数式的有理化因式;3.了解二次根式转化为有理化思想。重点:掌握有理化因式的概念和求法。难点:求二次根式的有理化因式。关键:掌握开方如的二次根式的有理化因式。教学过程:复习提问:(1)把下列各式的分母有理化:(1);(2)。2.计算:(1);(2)新课:中考网www.zhongkao.com中考网www.zhongkao.com例1计算:(1)(2)。解:(1)原式=3-6=-3;(2)原式=4ax-25by一般地,与互为有理化因式。例2指出下列各式的有理化因式。(1);(2);(3);(4);(5);(6);(7);(8)。解:(1);(2);(3);(4);(5);(6);(7);(8)。练习:P209-3小结:有理化概念,以及找出有理化因式。作业:习题11.6A组3。中考网www.zhongkao.com中考网www.zhongkao.com中考网www.zhongkao.com

1、当您付费下载文档后,您只拥有了使用权限,并不意味着购买了版权,文档只能用于自身使用,不得用于其他商业用途(如 [转卖]进行直接盈利或[编辑后售卖]进行间接盈利)。
2、本站所有内容均由合作方或网友上传,本站不对文档的完整性、权威性及其观点立场正确性做任何保证或承诺!文档内容仅供研究参考,付费前请自行鉴别。
3、如文档内容存在违规,或者侵犯商业秘密、侵犯著作权等,请点击“违规举报”。

碎片内容

八年级数学二次根式的混合运算

文章天下+ 关注
实名认证
内容提供者

各种文档应有尽有

确认删除?
VIP
微信客服
  • 扫码咨询
会员Q群
  • 会员专属群点击这里加入QQ群
客服邮箱
回到顶部