电脑桌面
添加小米粒文库到电脑桌面
安装后可以在桌面快捷访问

高三理科数学加试题高考冲刺八VIP免费

高三理科数学加试题高考冲刺八_第1页
1/3
高三理科数学加试题高考冲刺八_第2页
2/3
高三理科数学加试题高考冲刺八_第3页
3/3
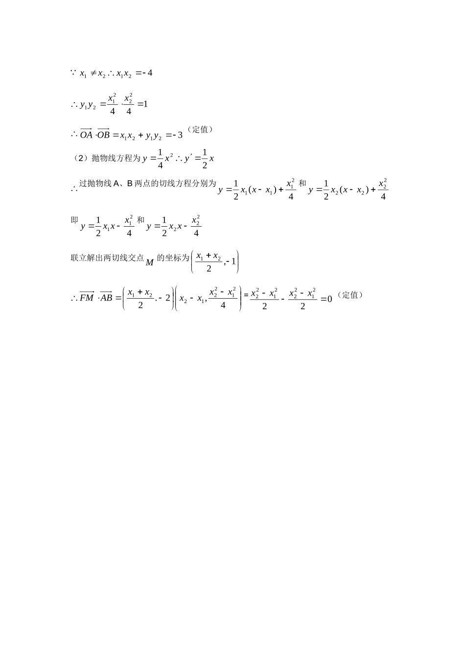
高三理科数学加试题高考冲刺八B.选修4—2矩阵与变换已知矩阵41baA,若矩阵A属于特征值1的一个特征向量为α1=13,属于特征值5的一个特征向量为α2=11.求矩阵A,并写出A的逆矩阵.解:由矩阵A属于特征值1的一个特征向量为α1=13可得,41ba13=13,即33ba;3分由矩阵A属于特征值5的一个特征向量为α2=,可得41ba11=511,即5ba,6分解得32ba即A=4312,7分A的逆矩阵是5253515410分C.(极坐标与参数方程)在平面直角坐标系xOy中,过椭圆在第一象限处的一点分别作轴、轴的两条垂线,垂足分别为,求矩形周长最大值时点的坐标.C.命题立意:本题主要考查椭圆的参数方程的应用,考查运算求解能力.解:设(为参数),(4分)则矩形周长为,(8分)所以,当时,矩形周长取最大值4,此时,点.(10分)22.(本小题满分10分)某校高一、高二两个年级进行乒乓球对抗赛,每个年级选出名学生组成代表队,比赛规则是:①按“单打、双打、单打”顺序进行三盘比赛;②代表队中每名队员至少参加一盘比赛,但不能参加两盘单打比赛.若每盘比赛中高一、高二获胜的概率分别为.⑴按比赛规则,高一年级代表队可以派出多少种不同的出场阵容?⑵若单打获胜得分,双打获胜得分,求高一年级得分的概率发布列和数学期望.22.⑴先安排参加单打的队员有种方法,再安排参加双打的队员有种方法,所以,高一年级代表队出场共有种不同的阵容.………………………4分⑵的取值可能是.,.的概率发布列为所以,.………10分23.在平面直角坐标系xoy中,已知焦点为F的抛物线yx42上有两个动点A、B,且满足FBAF,过A、B两点分别作抛物线的切线,设两切线的交点为M.(1)求:OAOB的值;(2)证明:ABFM为定值.23.解:设)4,(),4,(222211xxBxxA焦点F(0,1))14,(),41,(222211xxFBxxAFFBAF)14(41222121xxxx消得0)41()14(212221xxxx化简整理得0)14)((2121xxxx21xx421xx144222121xxyy32121yyxxOBOA(定值)(2)抛物线方程为241xyxy21过抛物线A、B两点的切线方程分别为4)(212111xxxxy和4)(212222xxxxy即421211xxxy和421222xxxy联立解出两切线交点M的坐标为1,221xx4,2.221221221xxxxxxABFM=02221222122xxxx(定值)

1、当您付费下载文档后,您只拥有了使用权限,并不意味着购买了版权,文档只能用于自身使用,不得用于其他商业用途(如 [转卖]进行直接盈利或[编辑后售卖]进行间接盈利)。
2、本站所有内容均由合作方或网友上传,本站不对文档的完整性、权威性及其观点立场正确性做任何保证或承诺!文档内容仅供研究参考,付费前请自行鉴别。
3、如文档内容存在违规,或者侵犯商业秘密、侵犯著作权等,请点击“违规举报”。

碎片内容

高三理科数学加试题高考冲刺八

您可能关注的文档

确认删除?
VIP
微信客服
  • 扫码咨询
会员Q群
  • 会员专属群点击这里加入QQ群
客服邮箱
回到顶部