电脑桌面
添加小米粒文库到电脑桌面
安装后可以在桌面快捷访问

临沂大学第四学期概率论与数理统计答案VIP免费

临沂大学第四学期概率论与数理统计答案_第1页
1/4
临沂大学第四学期概率论与数理统计答案_第2页
2/4
临沂大学第四学期概率论与数理统计答案_第3页
3/4
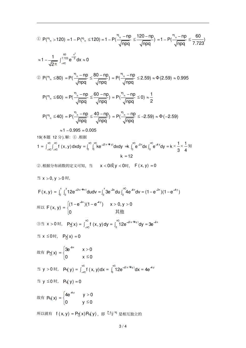
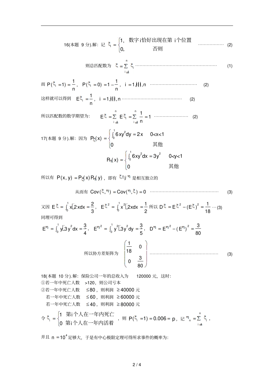
1/4概率统计试卷A答案一、填空题(每题2分,共12分)1.0.3;0.5;2.2()21,2xex;12;1()x3.02x;1;4.13;5.DD;6.0.9二、选择题(每题2分,共12分)7.A8.B9.C10.D11.B12.A三、计算题13(本题8分).解:①.记""A有一件是不合格品,""B另一件是不合格品则根据题意可知2112()mmMmMCCCPAC22()mMCPABC⋯⋯⋯⋯⋯⋯⋯⋯⋯⋯⋯(2)故所求概率为()1(|)()21PABmPBAPAMm⋯⋯⋯⋯⋯⋯⋯⋯⋯⋯⋯(2)②.记""C有一件是不合格品,""D另一件是不合格品,则根据题意有2112()MmmMmMCCCPCC112()MmmMCCPCDC⋯⋯⋯⋯⋯⋯⋯⋯⋯⋯(2)从而所求概率为()2(|)()1PCDmPDCPCMm⋯⋯⋯⋯⋯⋯⋯⋯⋯⋯(2)14(本题8分).解:记""1,2,3,4iAii所选射手为第级射手(),""B任选一射手,该射手能进入决赛则根据题意由全概率公式可得414871()()(|)0.90.70.50.20.64520202020iiiPBPAPBA15(本题8分)解:易知,当0x时,()0Px⋯⋯⋯⋯⋯⋯⋯⋯⋯(1)当0x时,()()()()()FxPxPxxxx⋯⋯⋯⋯⋯(2)此时有222()()()xPxxxe⋯⋯⋯⋯⋯⋯⋯⋯⋯⋯⋯⋯⋯⋯(2)所以22222200222xxxExedxed⋯⋯⋯⋯⋯⋯⋯⋯⋯⋯⋯(3)2/416(本题9分).解:记1,0iii数字恰好出现在第个位置,否则⋯⋯⋯⋯⋯⋯(2)则总匹配数为1nii⋯⋯⋯⋯⋯⋯⋯⋯⋯⋯⋯⋯⋯⋯⋯⋯⋯⋯⋯(1)而1(1)iPn,1(0)1iPn,1,,in⋯⋯⋯⋯⋯⋯⋯⋯⋯⋯⋯(2)这样就可以得到1iEn,1,,in⋯⋯⋯⋯⋯⋯⋯⋯⋯⋯⋯⋯⋯⋯(2)所以匹配数的数学期望为:1111nniiiEEn⋯⋯⋯⋯⋯⋯⋯⋯(2)17(本题9分).解:因为120620<<1()0xydyxxPx其他1220630<<1()0xydxyyPx其他所以有(,)()()PxyPxPy,即有与是相互独立的从而有(,)(,)0CovCov⋯⋯⋯⋯⋯⋯⋯⋯⋯⋯⋯⋯⋯⋯⋯⋯(3)又因10223Exxdx,1220122Exxdx所以221()18DEE⋯(3)同理可得到120334Eyydx,12220335Eyydy,223()80DEE所以协方差矩阵为10183080⋯⋯⋯⋯⋯⋯⋯⋯⋯⋯⋯⋯⋯⋯⋯⋯(3)18(本题10分).解:保险公司一年的总收入为120000元,这时:①若一年中死亡人数>120,则公司亏本②若一年中死亡人数80,则利润40000元若一年中死亡人数60,则利润60000元若一年中死亡人数40,则利润80000元令10iii第个人在一年内死亡第个人在一年内活着,则(1)0.006iPp,记1nnii,并且410n足够大,于是有中心极限定理可得所求事件的概率为:3/4①12060(120)1(120)1()1()7.723nnnnnpnpnpPPPPnpqnpqnpq2607.72321102xedx②80(80)()(2.59)(2.59)0.995nnnnpnpnpPPPnpqnpqnpq601(60)()(0)2nnnnpnpnpPPPnpqnpqnpq40(40)()(2.59)(2.59)nnnnpnpnpPPPnpqnpqnpq10.9950.00519(本题12分).解:①.根据(34)340000111(,)34xyxyfxydxdykedxdykedxedyk知12k②.根据分布函数的定义可知,当00xy或时,(,)0Fxy当0,0xy时,(34)34340000(,)1234(1)(1)xyxuvuvxyFxyedudveduedvee所以34(1)(1)0,0(,)0xyeexyFxy其他③当0x时,(34)30()(,)123xyxPxfxydyedye当0x时,()0Px故有330()00xexPxx当0y时,(34)40()(,)124xyyPyfxydxedxe当0y时,()0Py故有440()00yeyPxy所以就有(,)()()fxyPxPy,即与是相互独立的4/4从而3|30(|)()00xexPxyPxx,4|40(|)()00yeyPyxPyy④12(34)3800(01,02)12(1)(1)xyPedxdyee()(,)0xyPfxydxdy20(本题12分)设,,,1n是一列独立同分布的随机变量,且数学期望存在:,2,1,iaEi则对任意的0,有11lim1anPniin成立。(3分)证明:因,,,1n有相同的分布,所以也有相同的特征函数,记为)(t,又因,2,1,iaEi,从而)(t有展开式:)(1)()0()0()(tiatttt(3分)再由独立性知niin11的特征函数为nnntntiant)(1对任意取定的t,有iatnnnnentntiant)(1limlim(3分)而iate是退化分布的特征函数,相应的分布函数为axaxxF,0,1)((3分)由特征函数的连续性定理知niin11的分布函数弱收敛于F(x),从而有anPnii11。(3分)故辛钦大数定律成立。

1、当您付费下载文档后,您只拥有了使用权限,并不意味着购买了版权,文档只能用于自身使用,不得用于其他商业用途(如 [转卖]进行直接盈利或[编辑后售卖]进行间接盈利)。
2、本站所有内容均由合作方或网友上传,本站不对文档的完整性、权威性及其观点立场正确性做任何保证或承诺!文档内容仅供研究参考,付费前请自行鉴别。
3、如文档内容存在违规,或者侵犯商业秘密、侵犯著作权等,请点击“违规举报”。

碎片内容

临沂大学第四学期概率论与数理统计答案

您可能关注的文档

文库响当当+ 关注
实名认证
内容提供者

该用户很懒,什么也没介绍

确认删除?
VIP
微信客服
  • 扫码咨询
会员Q群
  • 会员专属群点击这里加入QQ群
客服邮箱
回到顶部