电脑桌面
添加小米粒文库到电脑桌面
安装后可以在桌面快捷访问

高二数学构造法求数列的通项公式知识点分析新人教版VIP免费

高二数学构造法求数列的通项公式知识点分析新人教版_第1页
1/4
高二数学构造法求数列的通项公式知识点分析新人教版_第2页
2/4
高二数学构造法求数列的通项公式知识点分析新人教版_第3页
3/4
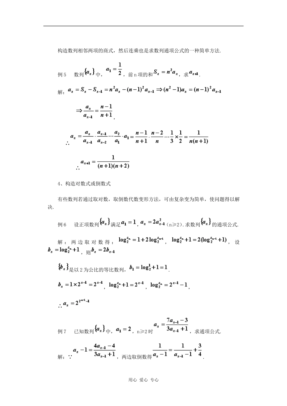
构造法求数列的通项公式在数列求通项的有关问题中,经常遇到即非等差数列,又非等比数列的求通项问题,特别是给出的数列相邻两项是线性关系的题型,在老教材中,可以通过不完全归纳法进行归纳、猜想,然后借助于数学归纳法予以证明,但新教材中,由于删除了数学归纳法,因而我们遇到这类问题,就要避免用数学归纳法。这里我向大家介绍一种解题方法——构造等比数列或等差数列求通项公式。构造法就是在解决某些数学问题的过程中,通过对条件与结论的充分剖析,有时会联想出一种适当的辅助模型,以此促成命题转换,产生新的解题方法,这种思维方法的特点就是“构造”.若已知条件给的是数列的递推公式要求出该数列的通项公式,此类题通常较难,但使用构造法往往给人耳目一新的感觉.供参考。1、构造等差数列或等比数列由于等差数列与等比数列的通项公式显然,对于一些递推数列问题,若能构造等差数列或等比数列,无疑是一种行之有效的构造方法.例1设各项均为正数的数列的前n项和为Sn,对于任意正整数n,都有等式:成立,求的通项an.解:,∴,∵,∴.即是以2为公差的等差数列,且.∴例2数列中前n项的和,求数列的通项公式.解:∵当n≥2时,用心爱心专心令,则,且是以为公比的等比数列,∴.2、构造差式与和式解题的基本思路就是构造出某个数列的相邻两项之差,然后采用迭加的方法就可求得这一数列的通项公式.例3设是首项为1的正项数列,且,(n∈N*),求数列的通项公式an.解:由题设得.∵,,∴.∴.例4数列中,,且,(n∈N*),求通项公式an.解:∵∴(n∈N*)3、构造商式与积式用心爱心专心构造数列相邻两项的商式,然后连乘也是求数列通项公式的一种简单方法.例5数列中,,前n项的和,求.解:,∴∴4、构造对数式或倒数式有些数列若通过取对数,取倒数代数变形方法,可由复杂变为简单,使问题得以解决.例6设正项数列满足,(n≥2).求数列的通项公式.解:两边取对数得:,,设,则是以2为公比的等比数列,.,,,∴例7已知数列中,,n≥2时,求通项公式.解:∵,两边取倒数得.用心爱心专心可化为等差数列关系式.∴用心爱心专心

1、当您付费下载文档后,您只拥有了使用权限,并不意味着购买了版权,文档只能用于自身使用,不得用于其他商业用途(如 [转卖]进行直接盈利或[编辑后售卖]进行间接盈利)。
2、本站所有内容均由合作方或网友上传,本站不对文档的完整性、权威性及其观点立场正确性做任何保证或承诺!文档内容仅供研究参考,付费前请自行鉴别。
3、如文档内容存在违规,或者侵犯商业秘密、侵犯著作权等,请点击“违规举报”。

碎片内容

高二数学构造法求数列的通项公式知识点分析新人教版

您可能关注的文档

状元书店+ 关注
实名认证
内容提供者

热爱教学事业,对互联网知识分享很感兴趣

相关文档

确认删除?
VIP
微信客服
  • 扫码咨询
会员Q群
  • 会员专属群点击这里加入QQ群
客服邮箱
回到顶部