电脑桌面
添加小米粒文库到电脑桌面
安装后可以在桌面快捷访问

高中数学 第2章《数列的求和》例题解析 新人教B版必修5VIP免费

高中数学 第2章《数列的求和》例题解析 新人教B版必修5_第1页
1/7
高中数学 第2章《数列的求和》例题解析 新人教B版必修5_第2页
2/7
高中数学 第2章《数列的求和》例题解析 新人教B版必修5_第3页
3/7
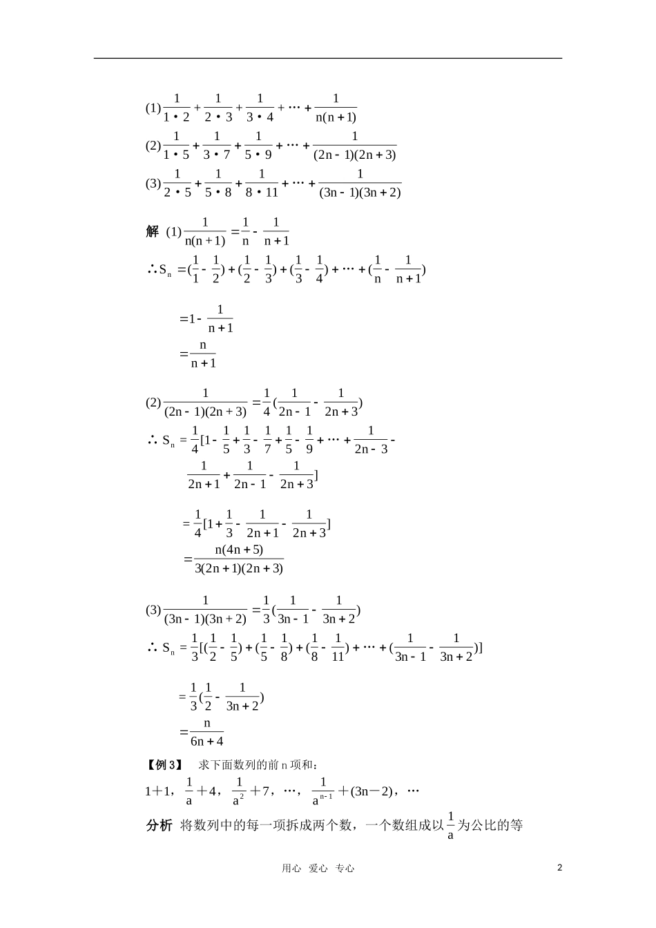
专题研究:数列的求和·例题解析【例1】求下列数列的前n项和Sn:(1)(2)13(3)11111122143181223132313231323121214121412234562121,,,…,,…;,,,…,,…;,+,+,…,+++…+,….()nnnnn解(1)S=112=(123n)n2143181212141812…+++…++…()()nnn=n(n+1)2=1121121121212()()nnnn+(2)S=13=(13+13++13)+(23+23++23)n32n-1242n2313231323234212………nn=13()()()1131132311311358113222222nnn(3)先对通项求和a=1S=(222)(1+14++12)nnn-11214122121211…∴++…+-+…nn=2n(1+14++12)=2n2n-1-+…-+12121n【例2】求和:用心爱心专心1(1)11+123+134+(2)11(3)12···…···…···…2115137159121235158181113132nnnnnn()()()()()解(1)1n(n+1)111111212131314111nnSnnn∴…()()()()1111nnn(2)1(2n1)(2n+3)S=n141211231411513171519123121121123()[]nnnnnn∴…=141131211234532123[]()()()nnnnnn(3)1(3n1)(3n+2)S=13n131311321215151818111131132()[()()()()]nnnn∴…=13()1213264nnn【例3】求下面数列的前n项和:1147(3n2)+,+,+,…,+-,…11121aaan分析将数列中的每一项拆成两个数,一个数组成以为公比的等1a用心爱心专心2比数列,另一个数组成以3n-2为通项的等差数列,分别求和后再合并.解设数列的通项为an,前n项和为Sn则+∴…++++…+-a=1a(3n2)S=[147(3n2)]nn1n()111121aaan当时,+·当≠时,a=1S=na1S=11a11annn[()]()()1322321322131221nnnnnnaaannnnn说明等比数列的求和问题,分q=1与q≠1两种情况讨论.【例4】a=k(kN*)aaak设++…+∈,则数列,,,12357222123…的前n项之和是[]ABCD....613161612nnnnnnnn()()解bb=nn设数列,,,…,的通项为.则35721123aaanan又 ++…+++∴a=12n=n(n1)(2n1)b=6n(n+1)=6(1n1n+1)n222n16数列{bn}的前n项和Sn=b1+b2+…+bn=6=6=6nn+1(A)[()()]()1121311213111111……选.nnnn【例5】求在区间[a,b](b>a,a,b∈N)上分母是3的不可约分数之和.用心爱心专心3解法一[ab]3a1a2b1区间,上分母为的所有分数是,,,+,,,+,…,-,,,它是以为首项,以为公差的等差数列.33313323343353323313333313aaaaabbba项数为-+,其和-++3b3a1S=12(3b3a1)(ab)其中,可约分数是a,a+1,a+2,…,b其和′-++S=12(ba1)(ab)故不可约分数之和为SS=12(ab)[(3b3a1)(ba1)]-′+-+--+=b2-a2解法二 …S=3a+13+3a+23+3a+43+3a+53++3b23+3b13∴++++++++…+-+-而又有-+-+-+-+…++++S=(a)(a)(a)(a)(b)(b)S=(b)(b)(b)(b)(a)(a)132343532313132343532313两式相加:2S=(a+b)+(a+b)+…+(a+b)其个数为以3为分母的分数个数减去可约分数个数.即3(b-a)+1-(b-a+1)=2(b-a)∴2S=2(b-a)(a+b)∴S=b2-a2【例6】求下列数列的前n项和Sn:(1)a,2a2,3a3,…,nan,…,(a≠0、1);(2)1,4,9,…,n2,…;(3)1,3x,5x2,…,(2n-1)xn-1,…,(x≠1)(4)1224382,,,…,,….nn解(1)Sn=a+2a2+3a3+…+nan a≠0∴aSn=a2+2a3+3a4+…+(n-1)an+nan+1Sn-aSn=a+a2+a3+…+an-nan+1用心爱心专心4 a≠1∴()()()()111111121aSaaanaSaaanaannnnnn(2)Sn=1+4+9+…+n2 (a+1)3-a3=3a2+3a+1∴23-13=3×12+3×1+133-23=3×22+3×2+143-33=3×32+3×3+1……n3-(n-1)3=3(n-1)2+3(n-1)+1(n+1)3-n3=3n2+3n+1把上列几个等式的左右两边分别相加,得(n+1)3-13=3(12+22+…+n2)+3(1+2+…+n)+n=3(123n)n2222+++…+++312nn()∴12+22+32+…+n2=[(n1)1n]=[n3n3nn]3321331213312+---++--nnnn()()=n(2n3n1)...

1、当您付费下载文档后,您只拥有了使用权限,并不意味着购买了版权,文档只能用于自身使用,不得用于其他商业用途(如 [转卖]进行直接盈利或[编辑后售卖]进行间接盈利)。
2、本站所有内容均由合作方或网友上传,本站不对文档的完整性、权威性及其观点立场正确性做任何保证或承诺!文档内容仅供研究参考,付费前请自行鉴别。
3、如文档内容存在违规,或者侵犯商业秘密、侵犯著作权等,请点击“违规举报”。

碎片内容

高中数学 第2章《数列的求和》例题解析 新人教B版必修5

您可能关注的文档

状元书店+ 关注
实名认证
内容提供者

热爱教学事业,对互联网知识分享很感兴趣

确认删除?
VIP
微信客服
  • 扫码咨询
会员Q群
  • 会员专属群点击这里加入QQ群
客服邮箱
回到顶部