电脑桌面
添加小米粒文库到电脑桌面
安装后可以在桌面快捷访问

天津市南开区七年级数学上册 第三章 一元一次方程章节复习题(pdf,无答案)(新版)新人教版试卷VIP免费

天津市南开区七年级数学上册 第三章 一元一次方程章节复习题(pdf,无答案)(新版)新人教版试卷_第1页
1/8
天津市南开区七年级数学上册 第三章 一元一次方程章节复习题(pdf,无答案)(新版)新人教版试卷_第2页
2/8
天津市南开区七年级数学上册 第三章 一元一次方程章节复习题(pdf,无答案)(新版)新人教版试卷_第3页
3/8
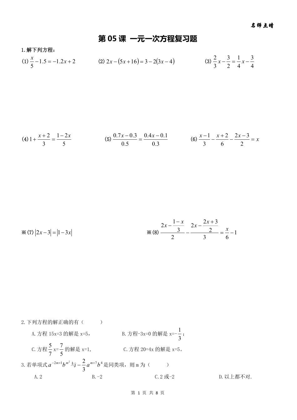
名师点睛第1页共8页第05课一元一次方程复习题1.解下列方程:(1)22.15.15xx(2)43231652xxx(3)43412332xx(4)521321xx(5)3.01.04.05.03.07.0xx(6)xxxx2326231※(7)2313xx※(8)16323222312xxxxx2.下列方程的解正确的有()A.方程15x=3的解是x=5,B.方程-3x=0的解是x=-31;C.方程75x=57的解是x=1,C.方程20=4x的解是x=5。3.若单项式4712322babammm与是同类项,则m为()A.2B.-2C.2或-2D.以上都不对.名师点睛第2页共8页4.若关于x的方程230xm无解,340xn只有一个解,450xk有两个解,则m、n、k的大小关系是()A.m>n>kB.n>k>mC.k>m>nD.m>k>n5.已知方程(n-1)x2n=3是x的一元一次方程,那么n=6.已知2x是方程2ax-3=17+a的解,则a+a1=7.当4x时,代数式ax2-6x-1的值是-9,则当4x时ax2-6x-1的值是8.某数与6的和的3倍等于这个数与2的差的4倍,则这个数为9.已知y=3是2y-41(m-y)=6的解,那么关于x的方程2m(x-1)-(4-3x)(m+1)=0的解是10.某车间有工人85人,平均每人每天可加工大齿轮16个或小齿轮10个,又知二个大齿轮和三个小齿轮配成一套,问应如何安排劳力使生产的产品刚好成套?11.某车间22名工人生产螺钉和螺母,每人每天平均生产螺钉1200个或螺母2000个,一个螺钉要配两个螺母,为了使每天的产品刚好配套,应该分配多少名工人生产螺钉,多少工人生产螺母?12.一项工程,甲单独做要10天完成,乙单独做要15天完成,两人合做4天后,剩下的部分由乙单独做,还需要几天完成?名师点睛第3页共8页13.一水池,单开进水管3小时可将水池注满,单开出水管4小时可将满池水放完。现对空水池先打开进水管2小时,然后打开出水管,使进水管、出水管一起开放,问再过几小时可将水池注满?14.某种品牌电风扇的标价为165元,若降价以九折出售,仍可获利10%,那么该商品的成本价是多少?某商店一次卖出两台不同品牌的产品,其中一台赚了12%,另一台赔了12%,且这两件商品的售价均为3080元,问该商店本次交易的盈利情况.15.某班有50名学生,在一次数学考试中,女生的及格率为80%,男生的及格率为75%,全班的及格率为78%,问这个班的男女生各有多少人?※16.有人问毕达哥拉斯,他的学校中有多少学生,他回答说:“一半学生学数学,四分之一学音乐,七分之一正休息,还剩3个女学生。”问毕达哥拉斯的学校中多少个学生。名师点睛第4页共8页17.一份试卷共有25道题,每道题都给出了4个答案,其中只有一个正确答案,每道题选对得4分,不选或错选倒扣1分,如果一个学生得90分,那么他做对了多少道题。18.已知A、B相距60千米,甲位于A处,骑自行车,他的速度是每小时15千米,乙位于B处,开汽车,他的速度是每小时45千米.(1)若他们同时相向而行,则经几小时他们相遇?(2)若他们相向而行,甲先骑车0.5小时,问乙出发几小时他们相遇?(3)若他们同时同向而行,甲在前乙在后,则经几小时乙追上甲?(4)若他们同向而行,甲在前乙在后,甲先骑车1小时以后,问乙经几小时追上甲?※(5)若他们同向而行,甲在前乙在后,甲先骑车1小时以后,发现他的一个重要文件在乙那里,因此掉头去拿,同时乙也开车给甲送去,问甲经几小时和乙碰到?※(6)若他们同时同向而行,多少小时后甲乙相距30千米?多少小时甲乙相距90千米?名师点睛第5页共8页章节测试题1.A种饮料B种饮料单价少1元,小峰买了2瓶A种饮料和3瓶B种饮料,一共花了13元,如果设B种饮料单价为x元/瓶,那么下面所列方程正确的是()A.2(1)313xxB.2(1)313xxC.23(1)13xxD.23(1)13xx2.七(3)班的50名同学进行物理、化学两种实验测试,经最后统计知:物理实验做对的有40人,化学实验做对的有31人,两种实验都做错的有4人,则这两种实验都做对的有()A.17人B.21人C.25人D.37人xk3.一队师生共328人,乘车外出旅行,已有校车可乘64人,如果租用客车,每辆可乘44人,那么还要租用多少辆客车?如果设还要租x辆客车,可列方程为()A.44x-328=64B.44x+64=328C.328+44x=64D.328+64=44x4.甲、乙两工程队开挖一条水渠各需10天、15天,两队合作2天后,甲有其...

1、当您付费下载文档后,您只拥有了使用权限,并不意味着购买了版权,文档只能用于自身使用,不得用于其他商业用途(如 [转卖]进行直接盈利或[编辑后售卖]进行间接盈利)。
2、本站所有内容均由合作方或网友上传,本站不对文档的完整性、权威性及其观点立场正确性做任何保证或承诺!文档内容仅供研究参考,付费前请自行鉴别。
3、如文档内容存在违规,或者侵犯商业秘密、侵犯著作权等,请点击“违规举报”。

碎片内容

天津市南开区七年级数学上册 第三章 一元一次方程章节复习题(pdf,无答案)(新版)新人教版试卷

确认删除?
VIP
微信客服
  • 扫码咨询
会员Q群
  • 会员专属群点击这里加入QQ群
客服邮箱
回到顶部