电脑桌面
添加小米粒文库到电脑桌面
安装后可以在桌面快捷访问

四川省乐山市外国语学校高一数学9月月考试卷VIP免费

四川省乐山市外国语学校高一数学9月月考试卷_第1页
1/21
四川省乐山市外国语学校高一数学9月月考试卷_第2页
2/21
四川省乐山市外国语学校高一数学9月月考试卷_第3页
3/21
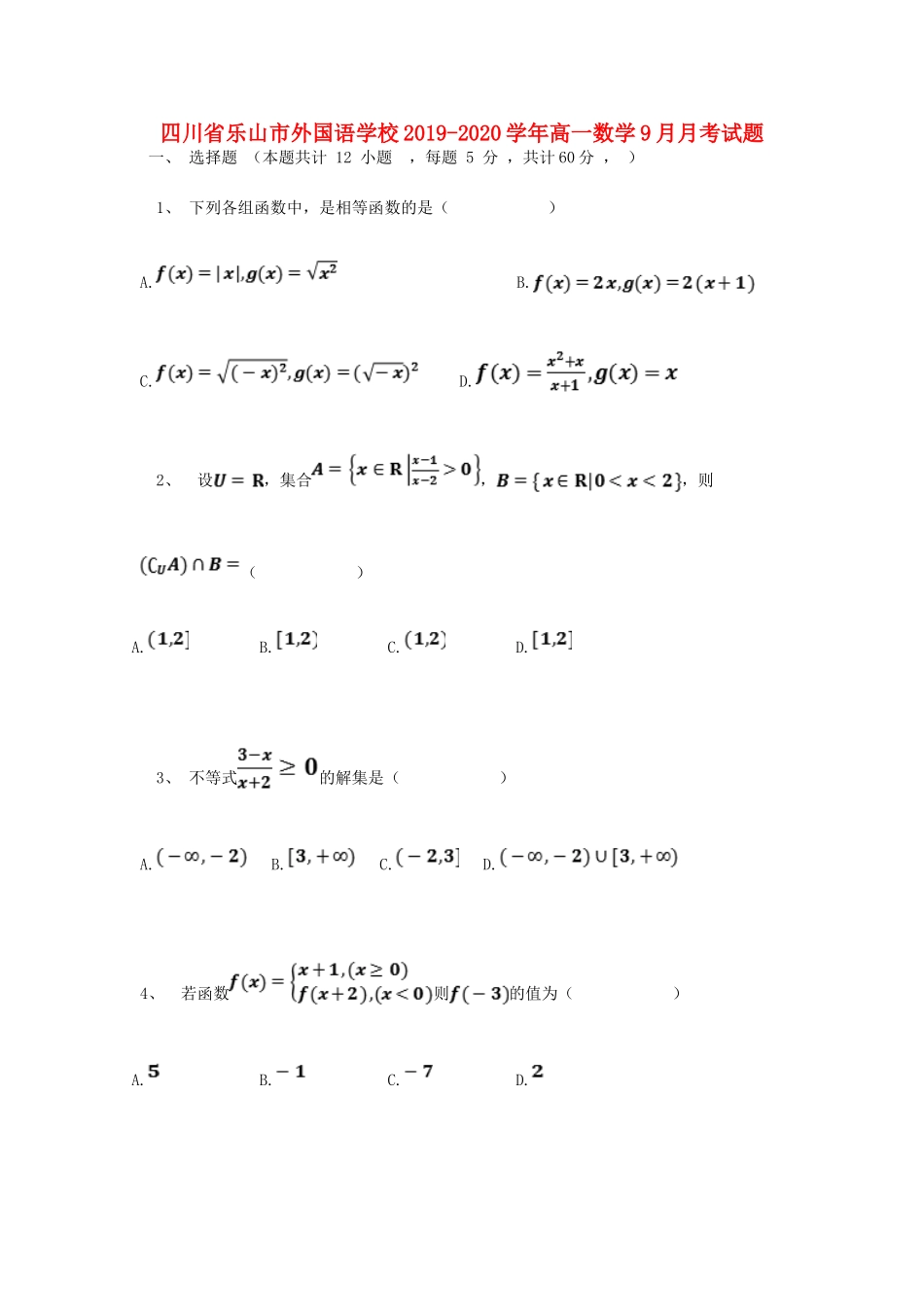
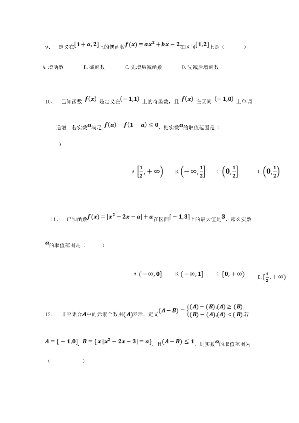
四川省乐山市外国语学校2019-2020学年高一数学9月月考试题一、选择题(本题共计12小题,每题5分,共计60分,)1、下列各组函数中,是相等函数的是()A.B.C.D.2、设,集合,,则()A.B.C.D.3、不等式的解集是()A.B.C.D.4、若函数则的值为()A.B.C.D.5、已知函数的定义域是,则的定义域为()A.B.C.D.6、已知函数,则的解析式是()A.B.C.D.7、函数是定义域为的奇函数,当时,,则当时,A.B.C.D.8、已知全集,,,则图中阴影部分表示的集合是()A.B.C.D.9、定义在上的偶函数在区间上是()A.增函数B.减函数C.先增后减函数D.先减后增函数10、已知函数是定义在上的奇函数,且在区间上单调递增.若实数满足,则实数的取值范围是()11、已知函数在区间上的最大值是,那么实数的取值范围是()12、非空集合中的元素个数用表示,定义若,,且,则实数的取值范围为()A.B.C.D.A.B.C.D.A.B.C.D.二、填空题(本题共计4小题,每题5分,共计20分)13、设奇函数的定义域为,当时,的图象如图,则不等式的解集是_______________.14、满足的集合的个数是______.15、已知不等式的解集为,则不等式的解集为__________________.16、对于实数和,定义运算“”:设函数,,若方程恰有两个不同的解,则实数的取值范围是_______________________.三、解答题(本题共计6小题,17题10分,其余每题12分,共计70分.)17.设全集为,,,.(1)求及;(2)若,求实数的取值范围.18.已知函数f(x)=.(1)求f(2)+,f(3)+的值;(2)求证为定值.(3)求f(2)++f(3)++…+f(2022)+f的值.19.函数是定义在上的奇函数,且.(1)确定函数的解析式;(2)用定义证明在上是增函数.20.定义在上的函数满足对任意恒有,且不恒为.(1)求和的值;(2)试判断的奇偶性,并加以证明;(3)若当时,为增函数,求满足不等式的的取值集合.21.为响应国家节能减排的号召,某汽车制造企业计划在年引进新能源汽车生产设备,通过市场分析,全年需投入固定成本万元,每生产(百辆),需另投入成本万元,且该企业确定每辆新能源汽车售价为万元,并且全年内生产的汽车当年能全部销售完.求年的利润(万元)关于年产量(百辆)的函数关系式(其中利润销售额成本).年产量为多少百辆时,企业所获利润最大?并求最大利润.22.已知是定义在上的奇函数,且,若,,时,有成立.判断在上的单调性,并证明.解不等式:(3)若对所有的恒成立,求实数的取值范围.备选22.已知二次函数的最小值为,且.求的解析式;求的值域;若在区间上不单调,求的取值范围.第一次月考数学参考答案与试题解析一、选择题(本题共计12小题,每题5分,共计60分)1【解答】解:中两函数定义域相同,对应关系相同,所以是同一函数;中对应关系不同;中定义域不同;中定义域不同.故选.2【解答】解:依题意得或,则,,故选.3【解答】解:因为,所以,所以,解得,所以原不等式的解集是.故选.4【解答】解:依题意,故选5.【解答】解:因为函数的定义域是,所以,所以,所以函数的定义域为.对于函数,,解得,故的定义域是.故选.6【解答】解:,.故选.7【解答】解: 函数是定义域为的奇函数,且时,,∴当时,,∴;又,∴,∴.故选:.8.【解答】 全集,,,,∴图中阴影部分表示的集合是:.选C。9【解答】解: 是定义在上的偶函数,∴区间关于原点对称,即,解得,且,∴,即,解得,∴,∴在区间上是减函数.故选:.10【解答】解:,.又是定义在上的奇函数,且在上单调递增,解得.故选.11【解答】,其对称轴为,,当时,,解得,此时,满足题意,当时,,解得,此时,满足题意,综上所述的取值范围为故选:.12【解答】解:因为,所以集合中有个元素,即.因为,所以就是函数的图象与直线的交点个数,作出函数的图象如图所示.由图可知,或或或.①当时,又,则,所以,又,所以,所以,由图可知,或;②当时,又,则,即,又,所以,所以,由图可知,.综上所述,或.故选.二、填空题(本题共计4小题,每题5分,共计20分)13【解答】解:当时由可得, 为奇函数,函数的图象关于原点对称当时,由可得故答案为:14、【解答】解: ,∴中至少含有个元素且...

1、当您付费下载文档后,您只拥有了使用权限,并不意味着购买了版权,文档只能用于自身使用,不得用于其他商业用途(如 [转卖]进行直接盈利或[编辑后售卖]进行间接盈利)。
2、本站所有内容均由合作方或网友上传,本站不对文档的完整性、权威性及其观点立场正确性做任何保证或承诺!文档内容仅供研究参考,付费前请自行鉴别。
3、如文档内容存在违规,或者侵犯商业秘密、侵犯著作权等,请点击“违规举报”。

碎片内容

四川省乐山市外国语学校高一数学9月月考试卷

您可能关注的文档

慧源书店+ 关注
实名认证
内容提供者

从事历史教学,热爱教育,高度负责。

确认删除?
VIP
微信客服
  • 扫码咨询
会员Q群
  • 会员专属群点击这里加入QQ群
客服邮箱
回到顶部